기술자료
자료실
결함 탐상용 위상 일관성 이미징
저자 Alain Le Duff, Guillaume Painchaud-April
1. 서론
현재 초음파 비파괴 검사(NDT) 분야에서, TFM(전체집속기법, total focusing method)은 가장 널리 알려져 있고 인정받고 있는 비파괴 검사(NDT) 이미징 기법입니다. 또한, 현재 TFM은 상용화되어 OmniScan™ X3 시리즈 결함 탐상기를 포함한 여러 가지 휴대용 장치에서 사용할 수 있으며 NDT 커뮤니티 내에서 인기가 높아지고 있습니다.
TFM을 사용하면 기존의 위상 배열(PA) 검사보다 훨씬 수월하게 이미지를 해석할 수 있지만, 획득 도중 단일 송신 소자를 사용하기 때문에 신호 대 잡음비(SNR)가 낮은 이미지가 만들어질 수 있습니다.SNR이 낮은 이유는 일반적으로 두께가 있는 부품이나 고감쇠 재료에서 음향 침투가 제대로 되지 않기 때문입니다.
이 문제를 극복하기 위해, 획득한 신호에서 위상 관련 정보만을 사용하는, 기존 TFM 알고리즘을 다른 방식으로 실행하는 것을 여기에서 제안하고자 합니다.이 방식은 벡터 일관성 계수 (VCF)1를 기반으로 하며, 획득한 신호에서 진폭 정보를 제거한 이미지 자체로써 사용됩니다.일반적으로 위상 일관성 이미징(PCI)으로 알려진 이 방법은 다음의 내용을 포함해 몇 가지 장점2,3,4을 가지고 있습니다.
- 신호의 순간 위상만을 고려하며 2 재료의 감쇠가 신호의 상에 영향을 미치지 않기 때문에 PCI는 두껍거나 고감쇠 재료에 대한 검사 응용 분야의 문제점을 해결하는 데 특히 도움이 될 수 있습니다.
- 신호의 진폭을 고려하지 않기 때문에, 진폭을 보정할 필요가 없습니다. 3
- 여러 스캔 뷰의 회절 기하학 감도와 결함 표시 일관성이 개선됐습니다.
- 균열과 같은 결함 크기 측정에 대해 신뢰할 수 있는 비진폭 기반 방법을 제공합니다. 3
이 문서의 나머지 부분에서는 특허 출원 내용의 일부인 Evident PCI 기술의 기본 원리, 특히 음향 에코 신호의 이진화 표현 생성 방법을 설명합니다.이 설명을 위해, FMC의 포락선을 포함한 기존 TFM 이미지를 구성할 수 있게 하는 지연 및 총계(delay and sum, DAS) 알고리즘 작동을 먼저 검토하겠습니다. 그 후, PCI 알고리즘이 DAS 알고리즘 변종을 구성한다는 것을 입증할 것입니다.
알려진 특성과 기하학의 인공 결함을 사용하는 실제 사용 사례로 두 가지 유형의 이미지 및 두 가지 유형의 알고리즘을 사용해 획득한 기존 TFM과 PCI를 비교할 수 있습니다.
2. 기존 TFM과 DAS 알고리즘 원리 검토
그림 1.검사 표면과 접촉하는 프로브를 사용한 FMC 획득의 기하학적 구성.압전 요소 k는 초음파를 재료로 발산합니다.압전 요소 l는 반사된 초음파를 수신합니다.
그림 1은 TFM을 사용해 검사하고 살펴봐야 할 표본 부분에 상응하는 대상 영역(ROI)뿐만 아니라 위상 배열 초음파 검사 프로브(PAUT)로 수행된 풀 매트릭스 캡처(FMC) 획득의 기하학적 구성을 보여줍니다.압전 요소 k 는 초음파를 발산합니다.그 후 이 음파는 검사할 표본의 재료에서 전파되어 다양한 계면뿐만 아니라 재료에 존재하는 모든 결합에 의해 반사됩니다.압전 요소 l 는 반사된 초음파를 수신하여 A 스캔 신호 skl를 형성합니다.이후 FMC는 모든 가능한 kl 조합의 모든 A 스캔을 그룹화합니다.
그림 2는 FMC 획득으로 얻은 기존 TFM 이미지에 대한 지연 및 총계(DAS) 알고리즘 재구성 원리의 6가지 주요 단계를 설명하는 흐름도를 보여주고 있습니다.
- FMC 획득이 수행되어 모든 A 스캔 s kl I (t)로 구성된 데이터를 생성합니다.여기에서 지수 I는 이 A 스캔이 동상 신호라는 것을 나타냅니다.
- 힐버트 변환이 적용되어 FMC 데이터에서 획득 및 그룹화된 동상 A 스캔 s kl I (t)의 직교 위상 요소 s kl Q (t)를 구할 수 있습니다.
- x kl I 및 x kl Q 데이터는 사전에 계산된 지연 τ kl (x,z)를 사용해 도출했습니다.이 같은 지연은 선택된 모드 유형(예를 들어, L-L, T-T, TT-T, TT-TT)과 관찰할 ROI에 따라 사전에 계산되었습니다.
- 이후 합계로 직교 관계의 TFM 이미지 두 개, I TFM I (x,z) 및 I TFM Q (x,z)를 획득했습니다.
- 진폭(모듈 또는 포락선이라고도 부름) I TFM (x,z)는 유클리드 거리 계산법을 사용해 추산했습니다.
- 이후 그래픽 카드로 수행할 수 있는 후처리 단계로 TFM 이미지를 포맷(기본적으로 디지털 필터링, 재샘플링 및 크기 조정)하여 기기 디스플레이상에 표시합니다.
그림 2.FMC 획득에서 진폭 TFM 이미지를 확보하기 위한 6단계 DAS 알고리즘의 원리.
3. PCI 알고리즘의 원리
OmniScan X3 64 결함 탐상기에 구현된 PCI 알고리즘이 기존 TFM 및 기타 위상 기반 신호 처리 기술과 차별화되는 주요 특징은 혁신적인 음향 신호 이진화 구성 요소(특허 출원 중)가 포함되어 있다는 점입니다.PCI 알고리즘을 그림 2에 표시된 DAS 알고리즘의 단계와 비교하면 다음과 같이 크게 두 가지 측면에서 차이가 있습니다.
- 함수 기호를 사용하는 신호 s kl I (t) 및 s kl Q (t) 정량화로 구성된 추가 단계인 3b 단계(그림 4). 이 단계로 본 문서의 후반부에 설명한 것처럼 신호의 일관성을 강조할 수 있습니다.
- 기존 TFM에서 사용된 유클리드 기준 대신에 체비쇼프 기준이라고도 하는 기준 L ∞ 을 사용하여 진폭을 계산합니다.
3.1.위상 일관성의 개념
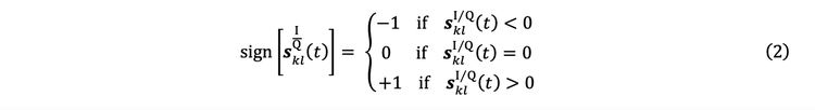
PCI의 특징을 올바르게 이해하려면 이 방법의 기본 원리인 신호 일관성 개념을 설명해야 합니다.이 단락에서는 개념을 간략하게 설명하겠습니다.여기에서는 부호 함수라고 불리기도 하는 함수 기호의 연산에 주의를 기울여야 합니다.
함수 기호는 3가지 개별 수준, 즉, +1, 0 및 -1의 신호 s(t)를 정량화합니다.
신호에 대한 이 정량화 연산의 효과를 더 잘 이해하기 위해, 예시로써 그림 3에서는 증명하기 위한 목적으로 임의적으로 선택한 A 스캔 s(t)에 대한 함수 기호의 적용 결과를 보여주고 있습니다.그림 3을 관찰하여, 다음의 내용에 주목할 수 있습니다.
- 신호는 다음과 같은 두 가지 구역 유형이 있습니다: (1) 지시가 존재한다는 것을 나타내는 소위 일관성 구역으로, 이는 결함이 존재한다는 징후와 (2) 지시는 존재하지 않지만, 순수 잡음은 존재한다는 것을 나타내는 소위 비일관성 구역입니다.이 같은 잡음은 주로 기기 장치의 고유한 전자 잡음에서 발생하지만, 표본의 소재와 음파의 상호작용과 연관된 구조적 잡음이기도 하다는 점을 주목해야 합니다.
- 일관성 구역에서, 신호의 강도는 일정하며 양자화 신호의 1과 -1 사이에 있는(그림 3(b)) 반면, 진폭은 원시 신호의 경우 시간이 경과됨에 따라 줄어듭니다(그림 3(a))(예를 들어, 기하학적 감쇠 때문에).
- 그림 3(b)의 양자화 신호에서는, 그림 3(a) 원시 신호의 감지할 수 없는 잡음 수준보다 훨씬 높은 수준에서 혼란스러운 측면이 있는 강력한 잡음이 존재합니다.이는 본 문서에서 예시로 제시되며, PCI로 획득한 TFM 이미지가 기존 TFM 이미지보다 “훨씬 잡음이 있는” 모습인 이유를 설명하는 데 도움이 되며, 그림 6(a)와 6(b), 또는 그림 8(a)와 그림 8(b)를 비교하여 확인할 수 있습니다.그러나 높은 수준의 혼돈 잡음이 있는 이 구역(비일관성 구역)은 일관성 구역과 달리 이미지의 위치와는 별개인 통계적 분포를 가지고 있습니다.이 같은 차이 때문에 PCI가 생성한 이미지에서 잡음이 있는 모습에도 불구하고, 일관성 구역과 비일관성 구역을 쉽게 구분할 수 있습니다.PCI를 사용할 때 기본적으로 OmniScan X3 64 장치에 적용된 조정 컬러맵은 그림 6(c)와 그림 8(c)에서 보여준 것처럼 사용자가 이 구역을 쉽게 구분하는 데 도움이 됩니다.
따라서 함수 기호의 작용은 한편으로는 PCI 5에서 일관적인 신호 강도를 유지하는 데 사용되며(예를 들어 조사 깊이에 관계없이), 또 다른 한편으로는 결함이 존재하는 것에 상응하는 일관성 구역과 결함이 없는 비일관성 혼돈 구역을 구분하는 데 사용됩니다. 신호의 일관성은 신호의 위상이 수행한 정보라는 점에 주목해야 합니다.
특정 관점에서, PCI가 전달하는 정보, 즉, '일관성/비일관성'은 '결함 존재/결함 부재'와 상응하는 특성상 준이진법으로 간주할 수 있습니다.이후 문제는 이 두 가지 형태를 구분하는 전략을 채택하는 것으로 구성됩니다.이를 달성할 수 있는 방법은 본 문서에서 다루지 않지만, OmniScan X3 64 결함 탐상기에서 구현된 조정 컬러맵으로 구분 작업을 지원할 수 있습니다.
그림 3. 원시 A 스캔 유형 신호와 잡음 (a), 함수 기호 (b)를 사용한 양자화 신호.
3.2.PCI 알고리즘
그림 4.PCI 알고리즘의 원리.
그림 4의 흐름도는 다음과 같이 OmniScan™ X3 64 결함 탐상기에서 구현된 PCI 알고리즘을 요약하고 있습니다.
- 모든 A 스캔 s kl I (t)로 이루어진 FMC 데이터를 구성한 획득 위상.지수 I는 이 A 스캔이 동상 신호라는 것을 나타냅니다.
- FMC 데이터에서 획득 및 그룹화된 동상 A 스캔 s kl I (t)의 직교 위상 성분 s kl Q (t)를 획득할 수 있는 힐버트 변환의 적용.
- 지연 τ kl (x,z)를 사용한 x kl I 및 x kl Q 데이터 추출.이 같은 지연은 선택된 모드 유형(예를 들어, L-L, T-T, TT-T, TT-TT)과 관찰할 ROI에 따라 미리 계산되었습니다.
이 첫 세 단계는 그림 2의 DAS 알고리즘 단계와 동일합니다.
3b.방정식 1에 따라 부호 함수를 사용한 신호 xklI 및 xklQ의 양자화는 신호 yklI 및 yklQ가 됩니다.
3b 단계는 PCI 알고리즘에 대한 특정 추가 단계입니다.
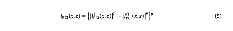
4. 합계로 직교 관계의 PCI 이미지 두 개, IPCII (x,z) 및 IPCIQ (x,z)를 획득했습니다.
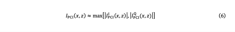
5.마지막으로, 진폭 IPCI (x,z)는 균일 기준 또는 기준 ∞라고도 하는 체비쇼프 거리 계산과 방정식 (3)과 (4)의 두 요소(p→∞)를 사용해 다음과 같이
추산했습니다.
방정식 5를 사용한 진폭 추정으로 p→∞를 달성하는 것은 어렵습니다.이후 다음의 식을 사용해 적당한 근사치를 구할 수 있습니다.
즉, 동상 및 직교 관계 이미지의 최고 절대값(|.|)을 최종 절대값으로 유지합니다.
6.마지막으로, 기존 TFM 이미지를 획득하기 위해 사용된 DAS 알고리즘 단계와 동일한 후처리 단계가 있습니다. 이는 기기 화면상에서 사용자에게 제시되는 TFM 이미지를 포맷(기본적으로 디지털 필터링, 재샘플링 및 크기 조정)하는 그래픽 카드로 수행할 수 있습니다.
그림 4에서 제시된 것처럼 OmniScan X3 64 결함 탐상기에서 구현된 PCI 처리 작업 흐름이 장치의 기존 TFM과 비교적 동일한 속도(즉, 데이터 획득부터 이미지 생성까지)로 실시간 검사 동안 완료된다는 것은 주목할 만합니다.
4. 실험 사례
이전에 설명한 두 가지 알고리즘을 사용해 획득한 이미지를 비교하고 PCI의 특징을 강조하기 위해 두 가지 사례, 즉, 알려진 특성과 기하학적 결함에 대한 실험 측정의 발췌 내용을 본 문서에 제시했습니다.여기에는 진폭 강건성과 결함 팁 감도가 포함됩니다.
4.1.사례 1: 측면공(SDH) 블록
첫 번째 시험 사례는 PCI 방법의 감쇠 강건성 특징을 강조하는 것을 목적으로 합니다.17개의 SDH 블록(ASTM E2491 저탄소강 시험 블록)은 5L64-A32 PAUT 프로브를 사용해 웨지 없이(즉, 프로브가 검사할 부분에 직접 접촉함) 검사합니다.이 시험 구성은 그림 5에 제시되어 있습니다.
그림 6은 그 결과로 인해 재구성된 기존 TFM (a)와 L-L 전파 모드를 사용한 PCI (b, c) 이미지를 제시합니다.그림 6에서, 다음의 내용을 명확하게 관찰할 수 있습니다.
- 모든 SDH는 PCI 이미지에서 동일한 강도로 표시되는 반면, 감쇠 효과는 하부 SDH의 기존 TFM 이미지와 상부 SDH의 빔 전파 진폭 효과에서 인식할 수 있습니다.
- 배경 잡음 수준도 PCI 이미지의 경우에 더 높습니다.
PCI가 무진폭 이미징 방법이기 때문에, 신호 일관성의 합은 신호의 진폭과는 별개로 발생하며 이에 따라 높은 대비 수준에서 지시를 만들어냅니다.3
그림 5.사례 1 시험 구성: ASTM E2491 저탄소강 시험 블록과 5L64-A32 프로브.
그림 6.OmniScan X3 64 결함 탐상기에서 구현된 기본 컬러맵을 포함해 기존 TFM (a), PCI (b) 및 PCI를 사용한 SDH 이미징.
4.2.사례 2: 강철 블록의 노치 결함
PCI의 또 다른 흥미로운 특징은 결함 팀의 감도인데, 이 감도는 불연속 결함의 크기를 정확히 측정할 수 있게 합니다.단지 몇 개의 일반적인 위상 조건만이 합의 원인이 되기 때문에, 대형 산란체에서 발생한 정반사는 진폭 합 측면에서 감소된 것으로 보입니다.따라서 PCI는 좁고 날카로운 반사체원에서 보다 강건성을 보이는 경향이 있습니다.
PCI의 이 같은 특징을 강조하기 위해, 이 두 번째 사례에서는 SPWZ1-N55S-IHC 웨지와 7.5L60-PWZ1 위상 배열 프로브를 사용한 70° 방향 비표면파괴 노치를 포함하는 강철 블록의 검사 결과를 제시합니다.그림 7은 시험 구성을 제시합니다.
그림 8은 그 결과로 인해 재구성된 기존 TFM (a)와 TT-TT 전파 모드를 사용한 PCI (b, c) 이미지를 제시합니다.다음과 같은 비교 결과를 얻을 수 있습니다.
- 단지 몇 개의 일반적인 위상 조건만이 합의 원인이 되기 때문에 대형 산란체에서 발생한 정반사는 진폭 합 측면에서 감소됩니다.
- 기존 TFM에 비해 PCI에서 대비가 개선됩니다.
- PCI는 결함 팁에 대한 감도가 보다 높습니다.
- PCI의 경우 신호 대 잡음비가 낮습니다.
따라서 이 경우 기존 TFM 이미지로 노치 범위를 보다 정확하게 평가할 수 있다고 하더라도, PCI는 보정 과정 또는 재료의 감쇠로 인해 쉽게 호도될 수 있는 반경험적 고찰을 사용하지 않고도 결함 팁에 대한 감도가 높기 때문에 노치와 같은 결함의 크기를 정확히 측정할 수 있습니다.
그림 7.사례 2 시험 구성: 방전 가공, SPWZ1-N55S-IHC 웨지 및 7.5L60-PWZ1 프로브를 사용하여 제작한 앵글 노치가 포함된 저탄소강 블록.
그림 8.OmniScan X3 64 결함 탐상기의 기본 컬러맵을 포함해 기존 TFM (a), PCI (b) 및 PCI를 사용한 노치 이미징.
실험 결과
결론적으로, 실험을 통해 PCI가 다음과 같은 여러 가지 장점을 제공한다는 것을 입증하였습니다.
- PCI는 비진폭 기반 이미징 방법이기 때문에, 이미지 해석이 진폭 보정 신호에 근거하지 않아 진폭 기반 기존 TFM보다 장점이 있습니다.
- 좁고 날카로운 반사체와 회절 형상에서 높은 감도를 보입니다.
- 보정 과정 또는 재료 감쇠에 의해 쉽게 오류가 생길 수 있는 반경험적 고찰을 사용하지 않고도 노치와 같은 결함의 크기를 정확하게 측정합니다.
- 보정 절차가 필요하지 않아 기존 TFM과 비교했을 때 보다 간단하고 정확하게 노치의 크기를 측정할 수 있습니다.
- 게인을 매우 낮은 값으로 설정하여 신호 포화를 방지할 수 있습니다.
- 또한, OmniScan X3 64 결함 탐상기와 같이 강력한 프로세서가 장착된 기기는 실시간 PCI 이미지를 생성하기 때문에 검사 도중 결과가 즉시 표시됩니다.
그러나 이 방법은 다음과 같은 일부 단점을 포함하고 있습니다.
- 면상 반사체를 제대로 재생성하지 못합니다.
- PCI의 신호 대 잡음비(SNR)는 진폭 기반 방법보다 낮습니다.그러나 앞서 설명한 것처럼, PCI는 보다 쉽게 일관성 구역을 구분하기 때문에 이는 주요한 단점이 아니며 이미지의 잡음 영역에 상응하는 비일관성 영역에 결함이 존재한다는 것을 보여줍니다.
- 사용자들은 진폭 기반 단면도를 보는 것에 익숙하기 때문에 적응 기간이 필요할 수도 있습니다.
참고 문헌
- JF Cruza, J.Camacho, and C.Fritsch, Plane-wave phase-coherence imaging for NDE, NDT & E International, vol.87, p.31~37, 2017년4월
- B. Gauthier, G.Painchaud-April, A.Le Duff, and P. Belanger, “Lightweight and Amplitude-Free Ultrasonic Imaging Using Single-Bit Digitization and Instantaneous Phase Coherence,” IEEE Trans. Ultrason., Ferroelect., Freq. Contr., vol. 69, no.5, pp.1763~1774, 2022년 5월, doi: 10.1109/TUFFC.2022.3163621.
- B.Gauthier, G.Painchaud-April, A.Le Duff, and P.Bélanger, “Towards an Alternative to Time of Flight Diffraction Using Instantaneous Phase Coherence Imaging for Characterization of Crack-Like Defects,” Sensors, vol.21, no.3, p.730, 2021년1월, doi: 10.3390/s21030730.
- A.Le Duff, N.Badeau, E.Peloquin, G.Painchaud-April, C.-H.Kwan, B.Gauthier, “Total Focusing Method with Phase-Only Ultrasound Signal for Small Flaw Detection,” International Ultrasonic Testing Conference (UT-Online), 2021.
- G. Painchaud-April, A. Le Duff, C. Kwan. C. Brillon, Phase-Based Approach for Ultrasonic Inspection, World Intellectual Property Organization (WIPO). 02.09.2021. WO/2021/168565 https://patentscope.wipo.int/search/fr/detail.jsf?docId=WO2021168565=EP383773045