白皮书

Name事例・お役立ち資料

用于探测缺陷的相位相干成像

作者 Alain Le Duff, Guillaume Painchaud-April

Alain Le Duff1, Guillaume Painchaud-April1

1Evident工业
3415 Pierre-Ardouin Street
Quebec QC, G1P 0B3

1. 引言

在超声无损检测(NDT)领域,全聚焦方式(TFM)现已成为一种广为人知、广泛接受的无损检测(NDT)成像技术。此外,这种技术现已在多种便携式设备上商用,包括OmniScan X3系列探伤仪,而且TFM在NDT领域越来越受欢迎。

然而,尽管TFM比传统的相控阵(PA)检测更容易解读图像,但在采集过程中使用单晶片发射可能会导致图像的信噪比(SNR)较低。这种低信噪比是由于声学穿透力差造成的,通常发生在厚部件或高衰减性材料中。

为了克服这个问题,这里提出了一种仅使用所采集信号的与相位相关的信息实现传统TFM算法的不同方式。这种方式基于矢量相干因子(VCF)1,是一种从采集的信号中去除波幅信息的图像本身。这种方式通常也称为相位相干成像(PCI),具有一定的优势,2,3,4其中包括以下几点:

本文接下来将尝试对PCI的基本原理进行说明。为了解释清楚,我们将首先回顾一下延迟和求和(DAS)算法的运算,该算法可以基于FMC(全矩阵捕获)构建一种带有包络的传统TFM图像。然后,将证明PCI算法是DAS算法的一种变体。

文中将举出对人工缺陷进行实际检测的示例,这些缺陷的性质和几何形状已知,因此可以对基于两种算法分别获得的传统TFM和PCI两种图像进行比较。

2. 传统TFM和DAS算法原理的回顾

图1. 使用与被测表面接触的探头进行FMC采集的几何配置。压电晶片k向材料中发射超声波。压电晶片l接收反射回来的超声波。

图1显示相控阵超声检测探头(PAUT)进行全矩阵捕获(FMC)所使用的几何配置,以及对应于使用TFM进行检测和查看的样件部分的感兴趣区域(ROI)。压电晶片 k 发射超声波。然后,超声波在被测样件材料中传播,并被材料中存在的缺陷以及各种界面反射回来。压电晶片 l 接收反射的超声波,从而形成A扫描信号skl。然后,FMC对所有A扫描分组,获得所有可能的 kl 组合。

图2是一个流程图,分6个主要步骤,说明了延迟和求和(DAS)算法基于FMC采集重建传统TFM图像的原理:

  1. 进行FMC采集,生成包含所有A扫描s kl I (t)的数据。 这里的指数I表明这些A扫描是同相信号。
  2. 应用希尔伯特变换,可以获得在FMC数据中采集并分组的同相A扫描s kl I (t)的正交分量s kl Q (t)。
  3. x kl I 和x kl Q 数据是使用预先计算的延迟τ kl (x,z)提取的。这些延迟是根据所选模式类型(例如,L-L、T-T、TT-T、TT-TT)和要观察的ROI预先计算的。
  4. 然后求和,得到两个正交的TFM图像,即I TFM I (x,z)和I TFM Q (x,z)。
  5. 波幅(也称为模块或包络)I TFM (x,z) 的估算通过欧式距离计算而得。
  6. 然后,由显卡启用的后处理步骤,对TFM图像进行格式化(基本上是数字滤波、重新采样和重新定量),并在仪器的显示屏上将其呈现给用户。

图2. 从FMC采集中获取波幅TFM图像的6步DAS算法原理

3. PCI算法的原理

OmniScan X3 64探伤仪中采用的PCI算法与图2中的DAS算法在两个主要方面有所不同:

3.1. 相位相干的概念

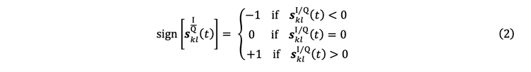
要想更好地理解PCI的本质,就必须引入信号相干性的概念,这是该方法的一个基本原理。本小节将以简化的形式介绍这个概念。为此,必须注意函数符号(有时称为符号函数)的运算。

函数符号在3个不同的级别(+1、0和-1)上量化信号s(t):

为了更好地理解这种量化运算对信号的影响,图3以示例的方式表明了在A扫描s(t)上应用函数符号的结果,此处的A扫描为演示目的而任意选择。通过观察图3,可以注意到以下几点:

因此函数符号的表现被用于PCI中,一方面是为了保持一致的信号强度(例如,不管检测深度如何),另一方面是为了将相干区域和非相干区域区分开来,相干区域往往对应于存在缺陷的区域,而嘈杂的非相干区域对应于没有缺陷的区域。需要说明的是,信号的相干性是信号相位所携带的信息。

从某种角度来看,PCI传递的信息本质上可被视为准二进制,因为“相干性/非相干性”等同于“存在缺陷/不存在缺陷”。那么问题就在于采取一种策略将这两种情况区分开来。本文没有涉及到实现这一目标的方法,不过,适应性彩图(如在 OmniScan X3 64探伤仪中生成的彩图)有助于完成区分任务。

图3. 原始A扫描类型的信号和噪声(图a)以及使用函数符号(图b)的量化信号

3.2. PCI算法

图4. PCI算法的原理

下面图4中的流程图总结了在OmniScan X3 64探伤仪中实现的PCI算法:

  1. 采集阶段,以构建包含所有A扫描s kl I (t)的FMC数据。指数I表示这些A扫描是同相信号。
  2. 应用希尔伯特变换,可以获得在FMC数据中获得并分组的同相A扫描s kl I (t)的正交分量s kl Q (t)。
  3. 利用延迟τ kl (x,z),提取数据x kl I 和x kl Q 。这些延迟已根据所选模式的类型(例如,L-L、T-T、TT-T、TT-TT)和要观察的ROI提前计算出来。

前三个步骤与图2中的DAS算法的前三个步骤相同。

3b. 根据公式1使用符号函数对信号xklI和xklQ进行量化,得到信号yklI和yklQ

步骤3b是为PCI算法特别添加的步骤。

4. 求和,以得到两个正交的PCI图像,IPCII (x,z)和IPCIQ (x,z):

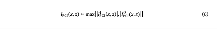
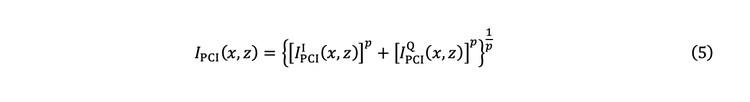
5. 最后,通过计算切比雪夫距离(也称为统一范数或范数L)以及等式(3)和等式(4)的两个量,估算出波幅IPCI (x,z):

带有p→∞。

很难从带有p→∞的等式5估算出波幅。那么可以使用以下表达式得到一个很好的近似值:

也就是使用同相和正交图像的绝对值(|⋅|)的最大值进行估算。

6. 最后,还有一个后处理步骤,与用于获取传统TFM图像的DAS算法相同,由显卡启用,对TFM图像进行格式化(基本上是数字滤波、重新采样和重新定量),并在仪器屏幕上将TFM图像呈现给用户。

值得注意的是,如图4所示,在OmniScan X3 64探伤仪中实现的PCI处理工作流程在检测过程中实时完成,其速度(即从数据采集到图像生成)相对来说与在设备中生成传统的TFM相同。

4. 实验示例

这里将举出的两个示例取自对性质和几何形状已知的缺陷进行的实验性测量,目的是对使用前述两种算法分别获得的图像进行比较,并突出介绍PCI的某些特征。这些特点包括波幅的稳健性和探测缺陷尖端的敏感性。

4.1. 示例1:检测带横通孔(SDH)的试块

第一个检测示例旨在突显PCI方法抗衰减的稳健性。我们使用5L64-A32 PAUT探头,在不使用楔块的情况下(即探头与被检工件直接接触)对一个含有17个SDH(横通孔)的钢块(ASTM E2491低碳钢试块)进行检测。检测配置如图5所示。

图6显示使用L-L传播模式重建的传统TFM(图a)和PCI(图b和图c)图像。在图6中,我们可以清楚地观察到以下情况:

由于PCI是一种无需波幅的成像方法,信号的相干求和会独立于信号波幅而完成,因此可以生成具有高对比度的缺陷指示。3

图5. 示例1的检测配置:ASTM E2491低碳钢试块和5L64-A32探头。

图6. 在OmniScan X3 64探伤仪中使用传统的TFM(图a)、PCI(图b)和带默认彩图的PCI(图c)为SDH成像

4.2. 示例2:钢块中的刻槽缺陷

PCI另一个有趣的特性是它对缺陷尖端的敏感性,它可以准确地确定不连续性的大小。似乎来自大散射体的镜面反射相对于波幅求和会有所减少,因为只有少数常见的相位项参与到求和运算中。因此,对于窄而尖的反射体,PCI往往表现得更加稳健。

第二个示例旨在突出PCI的这一特性,展示的是使用SPWZ1-N55S-IHC楔块和7.5L60-PWZ1相控阵探头对含有一个定向为70°的非表面断裂刻槽的钢块进行检测的结果。图7中显示的是检测配置。

图8显示了使用TT-TT传播模式重建的传统TFM(图a)和PCI(图b和图c)图像。可以进行以下比较:

因此,尽管传统的TFM图像能够更准确地评估刻槽的范围,但由于PCI对缺陷尖端的高度敏感性,也能准确定量刻槽状缺陷,而无需顾及很容易被校准过程或材料中的衰减所误导的半经验式考虑因素。

图7. 示例2的检测配置:使用SPWZ1-N55S-IHC楔块和7.5L60-PWZ1探头对一个含有使用电火花加工制造的斜向刻槽的低碳钢块进行检测。

图8. 在OmniScan X3 64探伤仪中使用传统TFM(图a)、PCI(图b)和带默认彩图的PCI(图c)为刻槽成像。

实验结果

总之,我们的实验表明PCI具有很多优点:

但是,这种方法的一些缺点也应该被提及:

参考文献

  1. JF Cruza、J. Camacho和C. Fritsch,“Plane-wave phase-coherence imaging for NDE”(用于无损检测的平面波相位相干成像),《NDT & E International》,第87卷,第31–37页,2017年4月。
  2. B. Gauthier、G. Painchaud-April、A. Le Duff和P. Belanger,“Lightweight and Amplitude-Free Ultrasonic Imaging Using Single-Bit Digitization and Instantaneous Phase Coherence”(使用单比特数字化和瞬时相位相干的轻型无波幅超声成像),《IEEE Trans. Ultrason., Ferroelect., Freq. Contr.》,第69卷,第5期,第1763-1774页,2022年5月,doi:10.1109/TUFFC.2022.3163621。
  3. B. Gauthier、G. Painchaud-April、A. Le Duff和P. Bélanger,“Towards an Alternative to Time of Flight Diffraction Using Instantaneous Phase Coherence Imaging for Characterization of Crack-Like Defects”(使用瞬时相位相干成像替代衍射时差表征裂纹状缺陷),《Sensors》,第21卷,第3期,第730页,2021年1月,doi:10.3390/s21030730。
  4. A. Le Duff、N. Badeau、E. Peloquin、G. Painchaud-April、C.-H. Kwan, B. Gauthier,“Total Focusing Method with Phase-Only Ultrasound Signal for Small Flaw Detection”(使用仅表现相位超声信号的全聚焦方式探测小缺陷),国际超声检测会议(UT-在线),2021年。

Post Author's Photo

Alain Le Duff

Scientific Project Manager

Alain Le Duff received a PhD in Acoustics from the Université du Mans, France in 2003. He was a professor from 1989 to 2018 at the Polytechnic University of Franceville, Gabon and then at the ESEO, Angers, France, where was the head of the Electronics & Control Engineering Department in 2015. In 2000, he became a Research Fellow at the Laboratoire d’Acoustique de l’Université du Maine, France. In 2018, he joined Evident, now Evident, as a scientist to assist our nondestructive testing (NDT) research and development (R&D). His research interests are related to signal and image processing, acoustics, and electronics. He has also contributed to several R&D programs with French and Canadian labs and companies working in the fields of biomedical and NDT industries.

Post Author's Photo

Guillaume Painchaud-April

Data Scientist

Guillaume Painchaud-April received his PhD in 2013 from the department of Physics and Physics Engineering at Université Laval, Quebec, Canada for his thesis on the use of the scattering matrix in the analysis of optical dielectric resonators. In 2012, he joined Evident as an industrial physicist, and his current role at Evident is data scientist. His work relates to the physical modeling of wave phenomena in acoustic and electromagnetic inspection systems, on their deployment, and on the use of statistical methods and machine learning methods to improve the reliability of NDE in commercial systems.