Anwendungsbeispiele

Kontaktieren Sie uns

RFA-Handanalysator für die Analyse von Kupfer-Gold-Porphyr-Lagerstätten

By Josh Litofsky

Die RFA-Handanalysatoren von Evident, wie der Vanta, spielen in der Mineralienindustrie eine wichtige Rolle bei der Exploration und Erschließung von Porphyrlagerstätten. Dieser Anwendungshinweis zeigt, wie der Vanta RFA-Handanalysator gängige Elemente, die bei der Porphyr-Exploration und im Bergbau von Interesse sind, sowie Elemente, die zur Bestimmung der Ergiebigkeit von Porphyrsystemen nützlich sind, genau messen kann.

Die Suche nach porphyrischen Lagerstätten ist für Mineralexplorations- und Bergbauunternehmen attraktiv, da es sich dabei oft um sehr große polymetallische Lagerstätten von enormem wirtschaftlichen Wert handeln kann. Porphyrsysteme, die in der Regel mit kostengünstigen Tagebaumethoden und mit einer langen Lebensdauer der Minen abgebaut werden (siehe nachstehendes Diagramm), liefern das meiste Kupfer (Cu) und Molybdän (Mo), das heute weltweit gefördert wird, sowie etwa ein Viertel des gesamten Goldes (Au).1

Abbildung 1: Anatomie eines teleskopischen Porphyr-Kupfer-Systems, das die räumlichen Zusammenhänge einer zentral gelegenen porphyrischen Cu ± Au ± Mo-Lagerstätte in einem mehrphasigen Porphyrstock und seinem unmittelbaren Wirtsgestein zeigt (hier wiedergegeben mit Genehmigung von Dick Sillitoe). Originalabbildung aus der SEG-Zeitschrift „Economic Geology“; Röntgenfluoreszenz-Handanalysator für die Mineralexploration

Die Mineralienindustrie hat in Zusammenarbeit mit der Wissenschaft viel unternommen, um die Entstehung dieser Lagerstätten und die potenzielle Ergiebigkeit der Porphyr-Lagerstätten besser zu verstehen und Techniken zu entwickeln, um sie im Rahmen von Mineralexplorationsprogrammen effizient anzupeilen.2, 3, 4, 5

Leistung des RFA-Handanalysators bei häufigen Porphyr-Bestandteilen

Die nachstehenden Daten veranschaulichen die Leistung des Vanta RFA-Handanalysators bei einer Reihe von zertifizierten Referenzmaterialien (CRMs) im pRFA Commodity Kit für Porphyr-Kupfer und IOCG (Eisenoxid-Kupfer-Gold), das von OREAS (Ore Research and Exploration Assay Standards) bereitgestellt wurde. Die ausgezeichnete Korrelation zwischen den CRM-Daten und dem Vanta RFA-Handanalysator zeigt, dass der Analysator bei vollständig aufbereiteten Proben aus diesen Lagerstättentypen eine ausgezeichnete Datenqualität liefern kann.

Vanta pXRF performance

Abbildung 2: Die Leistung des Vanta RFA-Handanalysators bei Elementen in Porphyr-Kupfer und IOCG im Vergleich zu den Assaywerten mit verschiedenen von OREAS bereitgestellten Kits

Darüber hinaus sind viele Daten öffentlich zugänglich, die zeigen, wie der Vanta RFA-Handanalysator hochwertige Daten mit teilweise aufbereiteten und unaufbereiteten Proben erzeugen kann. Sie können einige dieser Daten in den folgenden Ressourcen einsehen:

Verwendung des RFA-Handanalysators für Porphyr-Ergiebigkeitsindikatoren

Unterschiedliche Kombinationen der Anteile von Strontium (Sr), Yttrium (Y), Mangan(II)-Oxid (MnO), Siliziumdioxid (SiO2) und Zirkonium (Zr), die im Labor gemessen wurden, wurden als potenziell wirksame Unterscheidungsmerkmale zwischen erzbildenden und nicht aussichtsreichen Intrusionen in einer porphyrischen Kupferlagerstätte identifiziert. Kürzlich haben sowohl das Centre for Ore Deposits and Earth Sciences (CODES) der University of Tasmania in Australien als auch die School of Geography, Geology, and Environment der University of Leicester im Vereinigten Königreich Forschungsarbeiten durchgeführt, um das Potenzial des Einsatzes eines RFA-Handanalysators zur Unterstützung von Erkundern bei der Vor-Ort-Bewertung der Porphyr-Ergiebigkeit an aufbereiteten und unaufbereiteten Proben zu untersuchen.

In einem Artikel1, der 2019 in Geology Exploration, Environment, Analysis (GEEA) veröffentlicht wurde, wies das Team von CODES Folgendes nach:

  1. Auf der Grundlage einer globalen Zusammenstellung von Labordaten können Sr/Y- und Sr/MnO-Ganzgesteinswerte wirksam zwischen erzbildenden und nicht aussichtsreichen Intrusionen in der Porphyr-Kupfer-Umgebung unterscheiden.
  2. Daten von RFA-Handanalysatoren, die auf konventionelle Ganzgesteinsdaten geeicht sind, können anstelle von konventionellen analytischen Ganzgesteinsdaten verwendet werden, um ein Sr/Y vs. Sr/MnO-Cu-Prospektivitäts-Diskriminationsdiagramm zu erstellen.

Das CODES-Team präsentierte Vergleiche der konventionellen ICP-MS/ICP-ES (induktiv gekoppelte Plasma-Massenspektrometrie und -Emissionsspektrometrie) mit den Ergebnissen von RFA-Handanalysatoren aus sechs mineralisierten Gebieten: (1) dem Porphyr-Cu (±Mo-Au)-Gebiet Yerington, USA; (2) der porphyrischen Cu-Mo-Lagerstätte Resolution, USA; (3) dem Cu-Fe-Skarngebiet Las Bambas, Peru; (4) dem Cu-Au-Gebiet Cadia, Australien; (5) dem Cu-Au-Gebiet Northparkes, Australien, und (6) dem Cu-Au-Gebiet Cowal, Australien.

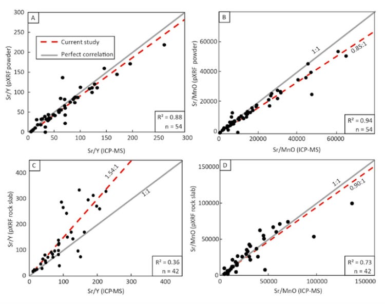
Durch die Bewertung der Genauigkeit und Präzision der Daten von RFA-Handanalysatoren, die sowohl aus Pulpen (120 Mesh) als auch aus intakten Gesteinsplatten (bis zu 0,5 cm Korngröße) gewonnen wurden, und den Vergleich der Ergebnisse mit konventionellen ICP-MS/ICP-ES-Ganzgesteinsdaten wurde in der CODES-Studie nachgewiesen, dass die Daten von RFA-Handanalysatoren erfolgreich direkt aus unbearbeitetem Gestein vor Ort gewonnen werden können, um das Erzbildungspotenzial von Intrusionen zu bewerten.

pXRF data and conventional lab data

Abbildung 3: CODES-Studie – Vergleiche zwischen den Daten von RFA-Handanalysatoren und den herkömmlichen Labordaten für verschiedene Probenmedien. (a) Sr/Y: Daten von RFA-Handanalysatoren für Pulpe in Pressbechern und ICP-MS/ICP-ES-Daten. (b) Sr/MnO: Daten von RFA-Handanalysatoren für Pulpe in Pressbechern und ICP-MS/ICP-ES-Daten. (c) Sr/Y: Daten von RFA-Handanalysatoren für intakte Gesteinsplatten und ICP-MS/ICP-ES-Daten. (d) Sr/MnO: Daten von RFA-Handanalysatoren für intakte Gesteinsplatten und ICP-MS/ICP-ES-Daten.

The pXRF data of the pre-, syn-, and post-mineralization intrusive rocks

Abbildung 4: CODES-Studie – Die Daten von RFA-Handanalysatoren der prä-, syn- und postmineralisierten Intrusivgesteine aus sechs porphyrischen Cu- und Skarngebieten, eingetragen in Sr/MnO vs. Sr/Y-Diagramme unter Verwendung der Ergiebigkeitsfelder. Die für jedes Gebiet analysierten Probenmedien sind hier aufgeführt. (a) Gebiet Yerington, USA; nur Gesteinsplatten. (b) Lagerstätte Resolution, USA; Gesteinsplatten. (c) Gebiet Las Bambas, Peru; Gesteinsplatten. (d) Gebiet Cadia, Australien; Pulpepulver. (e) Gebiet Cowal, Australien; Pulpepulver und Gesteinsplatten. (f) Gebiet Northparkes, Australien; Pulpepulver.

Die jüngste Arbeit, die auf der Tagung 43rd Annual Meeting of the Mineral Deposits Study Group in London von Marquis et al. vorgestellt wurde, bewertete die Leistung des Vanta RFA-Handanalysators bei einer Reihe von Proben, die eine Mischung aus positiven und neutralen Ergiebigkeitssignalen (Sr/Y vs. SiO2 und Sr/Y vs. Zr) zeigen. Die Proben wurden mit verschiedenen Methoden vorbereitet.6 Die gleichen Proben wurden unter den folgenden Bedingungen getestet:

Abbildung 5: Studie der University of Leicester – (a) Sr/Y vs. SiO2-Diskriminationsdiagramm, das üblicherweise als Ergiebigkeitsindikator verwendet wird. (b) Sr/Y vs. Zr zeigt die bessere Präzision und Genauigkeit von Zr im Vergleich zu SiO2. Gedruckt mit Genehmigung der University of Leicester.

In dieser Studie wurde festgestellt, dass der Vanta Analysator bei vorbereiteten Proben gut funktionierte, aber bei zerkleinertem oder intaktem Gestein keine genaue SiO2-Auflösung durchführen konnte. Dies ist aufgrund der heterogenen Beschaffenheit dieser Proben und der damit verbundenen Auswirkungen auf die mit dem RFA-Handanalysator gemessenen leichteren Elemente zu erwarten. Aufgrund der besseren Genauigkeit schwererer Spurenelemente wie Zr können diese jedoch anstelle von Siliziumdioxid als Indikator für die Ergiebigkeit von Porphyr verwendet werden, selbst bei Feldproben.

Abbildung 6: Scans einiger Cu-Porphyr-Proben von OREAS mit Inline-Echtzeitberechnung der Ergiebigkeit.

Mit der Funktion Pseudoelemente des Vanta RFA-Handanalysators von Evident können jederzeit alle interessanten Anteile auf dem Bildschirm des Geräts angezeigt werden. Mit der Funktion zur Anzeige von Verbindungen kann der Vanta Analysator auch das mit einzelnen Elementen verbundene Oxid anzeigen. Diese Berechnungen werden auf dem Gerät durchgeführt, während die Tests durchgeführt werden (siehe Abbildung oben).

Die Vanta RFA-Handanalysatoren können als leistungsstarke Werkzeuge zur besseren Erkundung und zum Abbau von porphyrischen Lagerstätten eingesetzt werden. Wenn Sie mehr über den Vanta RFA-Handanalysator erfahren möchten, wenden Sie sich an Ihren örtlichen Vertriebsmitarbeiter, um eine Vorführung zu vereinbaren, oder kontaktieren Sie uns online unter https://ims.evidentscientific.com/de/.

Literaturnachweis

  1. Sillitoe, R.H., 2010. Porphyry copper systems. Economic geology, 105(1), pp.3–41.
  2. Houston, R.A. and Dilles, J.H., 2013. Structural geologic evolution of the Butte district, Montana. Economic Geology, 108(6), S. 1397–1424.
  3. Wilkinson, J.J., Chang, Z., Cooke, D.R., Baker, M.J., Wilkinson, C.C., Inglis, S., Chen, H. and Gemmell, J.B., 2015. The chlorite proximitor: A new tool for detecting porphyry ore deposits. Journal of Geochemical Exploration, 152, S. 10–26.
  4. Ahmed, A., Crawford, A.J., Leslie, C., Phillips, J., Wells, T., Garay, A., Hood, S.B. and Cooke, D.R., 2020. Assessing copper fertility of intrusive rocks using field portable X-ray fluorescence (pXRF) data. Geochemistry: Exploration, Environment, Analysis, 20(1), S. 81–97.
  5. Santoro, L., Yav, S.T., Pirard, E., Kaniki, A., Arfè, G., Mondillo, N., Boni, M., Joachimski, M., Balassone, G., Mormone, A. and Cauceglia, A., 2018. Abstracts from the 2017–2018 Mineral Deposits Studies Group meeting. Applied Earth Science, 127(2), S. 46–79.
  6. Marquis, E., Hamp-Gopsill, L.J., Pearse, M., Marvin-Dorland, L., Knott, T.R. and Smith, D.J., 2020. Portable XRF analysis for porphyry fertility indicators, in Abstracts of the 43rd Mineral Deposits Study Group Annual Meeting held at the Natural History Museum, London, UK on 6th-8th January 2020. Appl Earth Sci 129:56-85. doi: 10.1080/25726838.2020.1755092.

Post Author's Photo
https://main--eds-evident-website--evident-scientific.hlx.live/en/authors/josh-litofsky/

Josh Litofsky

Application Scientist, XRF Technologies

Josh Litofsky holds a bachelor’s degree in physics from Beloit College and PhD in chemical engineering from Pennsylvania State University. For his PhD, he focused his research on advanced characterization of designer materials using X-ray diffraction. From 2019 to 2022, Josh brought his expertise to Evident as an application scientist, supporting our X-ray fluorescence (XRF) analyzers to provide enhanced solutions to customers. In his free time, Josh enjoys running and has run the fastest 100k in the state of Pennsylvania.

Verwendete Produkte

Vanta

Die Handanalysatoren für die Röntgenfluoreszenzanalyse der Vanta Serien sind unsere neusten und leistungsstärksten RFA-Handanalysatoren. Sie liefern eine schnelle und genaue Analyse chemischer Elemente für Kunden, die Ergebnisse von Laborqualität im Außeneinsatz benötigen. Die Analysatoren verfügen über ein robustes Design, das für die Schutzart IP55 oder IP54 ausgelegt ist, und sie sind Falltest getestet für längere Betriebszeiten und niedrigere Betriebskosten.