Notas de aplicación

Contacta con nosotros

Analizadores XRF portátiles para depósitos porfídicos de cobre y oro

By Josh Litofsky

Los instrumentos XRF portátiles de Evident, como el analizador XRF Vanta™, desempeñan un papel importante en la exploración y el desarrollo de los depósitos porfídicos en la industria minera. A través de esta nota de aplicación, se demuestra cómo el analizador XRF Vanta puede medir con precisión elementos comunes que son de interés en la exploración y extracción de pórfidos, así como elementos útiles para determinar la fertilidad de los sistemas porfídicos.

La búsqueda de sistemas porfídicos es significativa para las empresas de exploración y minería, ya que por lo general éstos representan depósitos polimetálicos de gran dimensión cuyo valor económico es muy alto. Extraídos de forma típica por métodos a cielo/tajo abierto de bajo costo [Esp. coste] y con largas vidas de explotación minera (detalles en el esquema a continuación), los sistemas porfídicos concentran en su mayoría el cobre (Cu) y el molibdeno (Mo) que se extrae actualmente en el mundo, y cerca de una cuarta parte de todo el oro (Au).1

Figura 1. Anatomía de un sistema de pórfido cuprífero telescópico que muestra las interrelaciones espaciales de un depósito de Cu ± Au ± Mo de baja ley ubicado centralmente en un depósito porfídico multifase y sus rocas huésped inmediatas (reproducción bajo el permiso de Dick Sillitoe). Imagen original de una exploración mineral por fluorescencia de rayos X portátil, cortesía de la revista SEG «Economic Geology».

La industria minera ha trabajado incesantemente en colaboración con el mundo académico para mejorar el entendimiento sobre la génesis de estos depósitos y el potencial de fertilidad de los depósitos porfídicos, además de desarrollar técnicas para crear vectores eficientes durante los programas de exploración minera.2, 3, 4, 5

Rendimiento del analizador XRF portátil en elementos comunes constituyentes de pórfidos

Los siguientes datos ilustran el rendimiento predefinido del analizador XRF portátil Vanta™ en una serie de materiales de referencia certificados (CRM) contenidos en el kit de materias primas Porphyry Copper & IOCG [pórfido cuprífero / óxidos de hierro, cobre y oro] para análisis XRF en modo portátil que suministra la empresa OREAS (Ore Research and Exploration Assay Standards). La excelente correlación entre los datos de los CRM y aquellos proporcionados por el analizador XRF portátil Vanta demuestra que este último puede proporcionar una excelente calidad de datos de muestras preparadas completamente a partir de estos tipos de depósitos.

Vanta pXRF performance

Figura 2. Rendimiento del analizador XRF portátil Vanta en los elementos de pórfido cuprífero / óxidos de hierro, cobre y oro frente a los valores de ensayo de los kits suministrados por la empresa OREAS.

También existen datos disponibles públicamente que muestran de qué forma el analizador XRF portátil Vanta produce datos de alta calidad en muestras parcialmente preparadas o sin preparar. Puede consultar algunos de estos datos a través de los siguientes recursos:

Uso del analizador XRF portátil para los indicadores de fertilidad de pórfidos

Se han identificado combinaciones de índices de estroncio (Sr), itrio (Y), óxido de manganeso (II) (MnO), dióxido de silicio (SiO2) y circonio (Zr) —medidas en diferente grado en laboratorio— como potenciales discriminadores efectivos entre las intrusiones de génesis del mineral y aquellas no prospectivas dentro la configuración de pórfidos cupríferos. Hace poco, tanto el Centro de Yacimientos de Minerales y Ciencias de la Tierra (Centre for Ore Deposits and Earth Sciences, CODES) de la Universidad de Tasmania (Australia) como la Escuela de Geografía, Geología y Medioambiente en la Universidad de Leicester (Reino Unido) estudiaron el potencial del analizador XRF portátil con el fin de facilitar la evaluación de fertilidad de pórfidos in situ, ejecutada por los exploradores, a través de muestras preparadas y sin preparar.

En un documento1 publicado en 2019 por la revista Geochemistry: Exploration, Environment, Analysis (GEEA), el equipo de CODES demostró que:

  1. Partiendo de una compilación global de datos de laboratorio, los valores de rocas enteras de Sr/Y y Sr/MnO permiten discriminar de forma eficaz las intrusiones de génesis del mineral de aquellas no prospectivas dentro del entorno del pórfido cuprífero.
  2. Puesto que los datos del analizador XRF fueron calibrados con los datos convencionales de rocas enteras, fue posible usarlos en lugar de los datos analíticos convencionales de rocas enteras para determinar el esquema de discriminación de prospección cuprífera de s Sr/Y versus Sr/MnO.

El equipo de CODES presentó comparaciones entre los resultados de espectrometría de masas con plasma acoplado inductivamente (ICP-MS) y espectrometría de emisión (ICP-ES) y los resultados del analizador XRF de seis distritos mineralizados: (1) el distrito del pórfido cuprífero «Yerington» (±Mo-Au). EE. UU.; (2) el distrito de pórfidos de Cu y Mo «Resolution», EE. UU.; (3) el distrito del depósito pirometasomático (Skarn) de Cu y Fe «Las Bambas», Perú; (4) el distrito de depósitos de Cu y Au «Cadia», Australia; (5) el distrito de depósitos de Cu y Au «Northparkes», Australia; y (6) el distrito de depósitos de Cu y Au «Cowal», Australia.

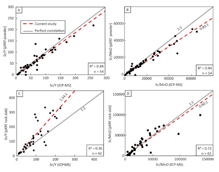
La publicación del equipo CODES compuso con la evaluación de precisión y fiabilidad de los datos del analizador XRF portátil provenientes de materiales en pulpa (tamizado de 120) y bloques de rocas intactos (tamaño de grano de hasta 0,5 cm), y su posterior comparación con los datos convencionales de rocas enteras con ICP-MS / ICP-ES. Las conclusiones extraídas demostraron que la adquisición en campo y de forma directa en rocas sin procesar con el analizador XRF portátil era exitosa para evaluar el potencial de las intrusiones en la génesis mineral.

pXRF data and conventional lab data

Figura 3. Estudio CODES: Comparación entre los datos del analizador XRF portátil y los datos convencionales de laboratorio para distintos medios de muestra. (a) Sr/Y: Datos del analizador XRF portátil, provenientes del material de pulpa depositado en recipientes de prensado, y datos ICP-MS/ICP-ES. (b) Sr/MnO: Datos del analizador XRF portátil, provenientes del material de pulpa depositado en recipientes de prensado, y datos ICP-MS/ICP-ES. (c) Sr/Y: Datos del analizador XRF portátil, provenientes de bloques de rocas intactos, y datos ICP-MS/ICP-ES. (d) Sr/MnO: Datos del analizador XRF portátil, provenientes de bloques de rocas intactos, y datos ICP-MS/ICP-ES.

The pXRF data of the pre-, syn-, and post-mineralization intrusive rocks

Figura 4. Estudio CODES: Datos del analizador XRF portátil adquiridos de rocas intrusivas previas, simultáneas y posteriores a la mineralización a partir de seis distritos de pórfidos cupríferos y depósitos pirometasomático (skarn) trazados en Sr/MnO v. Esquemas de Sr/Y usando los campos de fertilidad. El medio de la muestra analizado para cada distrito se especifica a continuación: (a) Distrito Yerington, EE. UU.; sólo bloques de rocas. (b) Depósito Resolution, EE. UU.; bloques de rocas. (c) Distrito Las Bambas, Perú; bloques de rocas. (d) Distrito Cadia, Australia; polvo de pulpa. (e) Distrito Cowal, Australia; polvo de pulpa y bloques de rocas. (f) Distrito Northparkes, Australia; polvo de pulpa

En un reciente estudio presentado en la 43ª Reunión Anual del Grupo de Estudio de Yacimientos Minerales (Londres), por Marquis et al. se evaluó el rendimiento del analizador XRF portátil Vanta™ en una serie de muestras. En este se expuso una combinación de señales de fertilidad positivas y neutras (Sr/Y vs. SiO2 y Sr/Y vs. Zr) sometidas a una serie de métodos de preparación de muestras. Estas mismas muestras se analizaban bajo las siguientes condiciones:

Figura 5. Estudio de la Universidad de Leicester: (a) Esquema de discriminación de Sr/Y vs. SiO2 usado comúnmente como indicador de fertilidad. (b) Sr/Y vs. Zr mostrando la mejora de los niveles de precisión y fiabilidad de Zr en comparación con SiO2. Reproducción bajo permiso de la Universidad de Leicester.

Este estudio demostró que el analizador Vanta funcionaba bien en muestras preparadas, pero no podía resolver con precisión el SiO2 en rocas trituradas o intactas. Esto era previsible debido a la naturaleza heterogénea de estas muestras y a su impacto inherente en elementos más ligeros medidos con el analizador XRF portátil. Sin embargo, la óptima precisión de los elementos de traza más pesados, como el Zr, les permite ser usados como un indicador de la fertilidad del pórfido en lugar del dióxido de silicio, incluso en muestras de campo.

Figura 6. Escaneos de algunas muestras OREAS de pórfido cuprífero con el cálculo en línea y en tiempo real de la fertilidad.

La función de seudoelementos del analizador XRF Vanta™ de Evident permite visualizar los índices de interés en la pantalla del instrumento en cualquier momento. Asimismo, la función de visualización de elementos compuestos permite al analizador Vanta mostrar el óxido asociado a los elementos individuales. Estos cálculos se efectúan en el instrumento durante los ensayos, como puede verse a continuación.

Los analizadores XRF Vanta pueden usarse como herramientas potentes para explorar y extraer mejor los sistemas geológicos de pórfidos. Para obtener más información sobre el analizador XRF portátil Vanta, póngase en contacto con su representante local de ventas para programar una demostración o contacte con nosotros en línea en https://ims.evidentscientific.com/es/.

Referencias

  1. Sillitoe, R.H., 2010. Porphyry copper systems. Economic geology, 105(1), págs. 3–41.
  2. Houston, R.A. and Dilles, J.H., 2013. Structural geologic evolution of the Butte district, Montana. Economic Geology, 108(6), págs. 1397–1424.
  3. Wilkinson, J.J., Chang, Z., Cooke, D.R., Baker, M.J., Wilkinson, C.C., Inglis, S., Chen, H. and Gemmell, J.B., 2015. The chlorite proximitor: A new tool for detecting porphyry ore deposits. Journal of Geochemical Exploration, 152, págs. 10–26.
  4. Ahmed, A., Crawford, A.J., Leslie, C., Phillips, J., Wells, T., Garay, A., Hood, S.B. and Cooke, D.R., 2020. Assessing copper fertility of intrusive rocks using field portable X-ray fluorescence (pXRF) data. Geochemistry: Exploration, Environment, Analysis, 20(1), págs. 81–97.
  5. Santoro, L., Yav, S.T., Pirard, E., Kaniki, A., Arfè, G., Mondillo, N., Boni, M., Joachimski, M., Balassone, G., Mormone, A. and Cauceglia, A., 2018. Abstracts from the 2017–2018 Mineral Deposits Studies Group meeting. Applied Earth Science, 127(2), págs. 46–79.
  6. Marquis, E., Hamp-Gopsill, L.J., Pearse, M., Marvin-Dorland, L., Knott, T.R. and Smith, D.J., 2020. Portable XRF analysis for porphyry fertility indicators, in Abstracts of the 43rd Mineral Deposits Study Group Annual Meeting held at the Natural History Museum, London, UK on 6th-8th January 2020. Appl Earth Sci 129:56-85. doi: 10.1080/25726838.2020.1755092.

Post Author's Photo
https://main--eds-evident-website--evident-scientific.hlx.live/en/authors/josh-litofsky/

Josh Litofsky

Application Scientist, XRF Technologies

Josh Litofsky holds a bachelor’s degree in physics from Beloit College and PhD in chemical engineering from Pennsylvania State University. For his PhD, he focused his research on advanced characterization of designer materials using X-ray diffraction. From 2019 to 2022, Josh brought his expertise to Evident as an application scientist, supporting our X-ray fluorescence (XRF) analyzers to provide enhanced solutions to customers. In his free time, Josh enjoys running and has run the fastest 100k in the state of Pennsylvania.

Productos para la aplicación


https://main--eds-evident-website--evident-scientific.hlx.live/es/vanta/

Vanta

La serie de analizadores XRF portátiles Vanta™ presenta el más nuevo y potente dispositivo portátil, que proporciona análisis elementales rápidos y precisos para clientes que requieren resultados de calidad in situ como los de laboratorio. Los analizadores son resistentes, cumplen con la certificación IP55 o IP54, y han sido probados contra caídas, maximizando así su tiempo de funcionamiento y reduciendo el costo de inversión.