Notes d’application

Contactez-nous

Analyse des gisements porphyriques de cuivre et d’or à l’aide de la technologie XRF portable

By Josh Litofsky

Les appareils XRF portables d’Evident, comme l’analyseur XRF à main Vanta™, jouent un rôle important dans l’exploration et le développement des gisements porphyriques dans l’industrie des minéraux. Cette note d’application montre comment l’analyseur XRF Vanta peut mesurer avec précision les éléments d’intérêt courants dans l’exploration et l’exploitation porphyriques, ainsi que les éléments utiles pour déterminer la fertilité des systèmes porphyriques.

La recherche de systèmes géologiques porphyriques est attrayante pour les sociétés d’exploration minérale et minière, car il peut souvent s’agir de très grands gisements polymétalliques d’une valeur économique énorme. Généralement exploités à l’aide de méthodes à ciel ouvert et à faible coût dans des mines à longues durées de vie (détaillées dans le diagramme ci-dessous), les systèmes porphyriques sont l’origine de la majeure partie du cuivre (Cu) et du molybdène (Mo) extraits dans le monde aujourd’hui, et d’environ un quart de tout l’or (Au) extrait.1

Figure 1. Anatomie d’un système de cuivre porphyrique télescopé montrant les interrelations spatiales d’un gisement porphyrique de cuivre, d’or et de molybdène à localisation centrale dans un stock de porphyre multiphase et ses roches hôtes immédiates (reproduite ici avec la permission de Dick Sillitoe). Figure originale tirée de l’article « Handheld X-ray Fluorescence Mineral Exploration » du journal Economic Geology de la Society of Economic Geologists.

De nombreux travaux ont été réalisés par l’industrie des minéraux en collaboration avec le milieu universitaire pour accroître la compréhension de l’origine de ces gisements porphyriques et de leur potentiel de fertilité, ainsi que pour développer des techniques efficaces de découverte de ces gisements lors des programmes d’exploration minérale.2, 3, 4, 5

Résultats fournis par des analyseurs XRF portables (pXRF) pour les éléments constitutifs courants du porphyre

Les données ci-dessous montrent les résultats fournis par un analyseur XRF à main Vanta tout droit sorti de son emballage pour divers matériaux de référence certifiés (CRM) compris dans l’ensemble pXRF de base d’oxyde de fer-cuivre-or fourni par OREAS (Ore Research and Exploration Assay Standards). L’excellente corrélation entre les données officielles des CRM et les résultats fournis par les analyseurs XRF à main Vanta montre que ces appareils peuvent fournir une excellente qualité de données pour des échantillons entièrement préparés de ces types de gisement.

Vanta pXRF performance

Figure 2. Résultats fournis par l’analyseur XRF à main Vanta pour les éléments contenus dans le cuivre porphyrique et l’oxyde de fer-cuivre-or de divers ensembles d’échantillons fournis par OREAS comparés aux valeurs de laboratoire

De plus, de nombreuses données publiquement accessibles montrent que l’analyseur XRF à main Vanta peut fournir des données de haute qualité pour des échantillons partiellement préparés et non préparés. Vous pouvez voir certaines de ces données en consultant les articles suivants :

Utilisation d’analyseurs XRF à main dans la recherche d’indicateurs de fertilité porphyrique

Différentes combinaisons de taux de strontium (Sr), d’yttrium (Y), d’oxyde de manganèse (II) (MnO), de dioxyde de silicium (SiO2) et de zirconium (Zr) mesurées en laboratoire ont été identifiées comme des combinaisons potentiellement efficaces pour permettre la distinction entre les intrusions minéralisées et les intrusions non prometteuses dans un environnement de cuivre porphyrique. Récemment, le Centre for Ore Deposits and Earth Sciences (CODES) de l’Université de Tasmanie en Australie et la School of Geography, Geology and Environment de l’Université de Leicester au Royaume-Uni ont mené des recherches pour étudier le potentiel d’utilisation des analyseurs XRF portables pour aider les explorateurs à évaluer la fertilité du porphyre sur le terrain au moyen d’échantillons préparés et non préparés.

Dans un article1 publié en 2019 dans le journal Geology Exploration, Environment, Analysis (GEEA), l’équipe du CODES a démontré ce qui suit :

  1. Sur la base d’une compilation mondiale de données de laboratoire, les valeurs des combinaisons Sr/Y et Sr/MnO dans la roche entière permettent la distinction efficace entre les intrusions minéralisées et les intrusions non prometteuses dans un environnement de cuivre porphyrique.
  2. Les données pXRF, calibrées sur les données conventionnelles de roche entière, peuvent être utilisées à la place des données analytiques conventionnelles de roche entière pour remplir les diagrammes de discrimination de la prospectivité du cuivre porphyrique (Sr/Y-Sr/MnO).

L’équipe du CODES a présenté des comparaisons de résultats ICP-MS/ICP-ES (spectrométrie de masse et d’émission à plasma induit) classiques et de résultats pXRF pour six districts minéralisés : (1) le district de cuivre porphyrique (±Mo-Au) de Yerington, aux États-Unis; (2) le gisement de cuivre/molybdène porphyriques Resolution, aux États-Unis; (3) le district de skarn de cuivre-fer de Las Bambas, au Pérou; (4) le district de cuivre-or de Cadia, en Australie; (5) le district de cuivre-or de Northparkes, en Australie; et (6) le district de cuivre-or Cowal, en Australie.

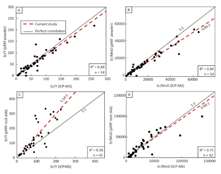
En évaluant l’exactitude et la précision des données pXRF collectées à partir de la pulpe (120 mesh) et des dalles de roche intactes (granulométrie allant jusqu’à 0,5 cm) et en comparant les résultats avec des données ICP-MS/ICP-ES classiques de roche entière, l’article CODES a démontré que les données pXRF peuvent être acquises avec succès directement à partir de roches non traitées sur le terrain pour évaluer le potentiel de minéralisation des intrusions.

pXRF data and conventional lab data

Figure 3. Étude du CODES – Comparaisons entre les données pXRF et les données de laboratoire classiques pour différentes matières d’échantillonnage. (a) Sr/Y : données pXRF obtenues à partir de pulpe dans des godets à échantillons pressés et données ICP-MS/ICP-ES. (b) Sr/MnO : données pXRF obtenues à partir de pulpe dans des godets à échantillons pressés et données ICP-MS/ICP-ES. (c) Sr/Y : données pXRF obtenues à partir de dalles rocheuses intactes et données ICP-MS/ICP-ES. (d) Sr/MnO : données pXRF obtenues à partir de dalles de roches intac

The pXRF data of the pre-, syn-, and post-mineralization intrusive rocks

Figure 4. Étude du CODES – Données pXRF obtenues pour des roches intrusives avant, pendant et après la minéralisation dans six districts de cuivre porphyrique et de skarn et représentées dans des diagrammes Sr/MnO-Sr/Y utilisant les champs de fertilité. La matière d’échantillonnage analysée pour chaque district est indiquée ici : (a) district de Yerington, États-Unis – dalles rocheuses uniquement; (b) gisement Resolution, États-Unis – dalles rocheuses; (c) district de Las Bambas, Pérou – dalles rocheuses; (d) district de Cadia, Australie – pulpe en poudre; (e) district de Cowal, Australie – pulpe en poudre et dalles rocheuses; (f) district de Northparkes, Australie – pulpe en poudre.

Lors des travaux récents présentés à la 43e réunion annuelle du groupe d’étude sur les gisements minéraux à Londres par Marquis et al., on a évalué les résultats fournis par l’analyseur XRF à main Vanta™ pour une série d’échantillons présentant un mélange de signaux de fertilité positifs et neutres (Sr/Y-SiO2 et Sr/Y- Zr) et soumis à diverses méthodes de préparation d’échantillons.6 Les mêmes échantillons ont été analysés dans les conditions suivantes :

Figure 5. Étude de l’Université de Leicester – (a) graphique de discrimination Sr/Y-SiO2 couramment utilisé comme indicateur de fertilité; (b) graphique Sr/Y-Zr montrant que la précision et exactitude sont meilleures pour le Zr comparativement au SiO2. Reproduit avec la permission de l’Université de Leicester.

Cette étude a révélé que l’analyseur Vanta fonctionnait bien sur des échantillons préparés, mais ne pouvait pas analyser avec précision le SiO2 sur des roches concassées ou intactes. Ceci est normal en raison de la nature hétérogène de ces échantillons et de son impact inhérent sur les éléments plus légers mesurés avec la technologie pXRF. Toutefois, l’exactitude accrue pour les éléments traces plus lourds, comme le Zr, permet d’utiliser ceux-ci comme indicateurs de fertilité porphyrique à la place de la silice, et ce, même sur des échantillons récoltés sur site.

Figure 6. Analyses de quelques échantillons de cuivre porphyrique fournis par OREAS avec calcul direct et en temps réel de la fertilité.

Lorsqu’on utilise la fonction « Pseudo Elements » sur l’analyseur XRF à main Vanta™ d’Evident, on peut afficher tous les taux pertinents sur l’écran de l’appareil à tout moment. De plus, la fonction d’affichage des composés permet à l’analyseur Vanta d’afficher l’oxyde associé aux éléments individuels. Ces calculs sont effectués sur l’appareil à mesure que les analyses sont réalisées, comme montré ci-dessus.

On peut donc utiliser les analyseurs XRF à main Vanta comme outils puissants pour mieux explorer et exploiter les systèmes géologiques porphyriques. Pour en savoir plus sur l’analyseur XRF à main Vanta, communiquez avec votre représentant commercial local afin de planifier une démonstration, ou contactez-nous en ligne à l’adresse www.ims.evidentscientific.com.

Références

  1. SILLITOE, R.H. « Porphyry copper systems », Economic Geology, vol. 105, n° 1, 2010, p. 3-41.
  2. HOUSTON, R.A. et DILLES, J.H. « Structural geologic evolution of the Butte district, Montana », Economic Geology, vol. 108, n° 6, 2013, p. 1397-1424.
  3. WILKINSON, J.J., CHANG, Z., COOKE, D.R., BAKER, M.J., WILKINSON, C.C., INGLIS, S., CHEN, H. et GEMMELL, J.B. « The chlorite proximitor: A new tool for detecting porphyry ore deposits », Journal of Geochemical Exploration, vol. 152, 2015, p. 10-26 .
  4. AHMED, A., CRAWFORD, A.J., LESLIE, C., PHILLIPS, J., WELLS, T., GARAY, A., HOOD, S.B. et COOKE, D.R. « Assessing copper fertility of intrusive rocks using field portable X-ray fluorescence (pXRF) data », Geochemistry: Exploration, Environment, Analysis, vol. 20, n° 1, 2020, p. 81-97.
  5. SANTORO, L., YAV, S.T., PIRARD, E., KANIKI, A., ARFÈ, G., MONDILLO, N., BONI, M., JOACHIMSKI, M., BALASSONE, G., MORMONE, A. et CAUCEGLIA, A. « Abstracts from the 2017–2018 Mineral Deposits Studies Group meeting », Applied Earth Science, vol. 127, n° 2, 2018, p.46-79.
  6. MARQUIS, E., HAMP-GOPSILL, L.J., PEARSE, M., MARVIN-DORLAND, L., KNOTT, T.R. et SMITH, D.J. « Portable XRF analysis for porphyry fertility indicators », dans « Abstracts of the 43rd Mineral Deposits Study Group Annual Meeting held at the Natural History Museum, London, UK on 6th-8th January 2020 », Applied Earth Science, vol. 129, 2020, p. 56-85, doi : 10.1080/25726838.2020.1755092.

Post Author's Photo
https://main--eds-evident-website--evident-scientific.aem.live/en/authors/josh-litofsky/

Josh Litofsky

Application Scientist, XRF Technologies

Josh Litofsky holds a bachelor’s degree in physics from Beloit College and PhD in chemical engineering from Pennsylvania State University. For his PhD, he focused his research on advanced characterization of designer materials using X-ray diffraction. From 2019 to 2022, Josh brought his expertise to Evident as an application scientist, supporting our X-ray fluorescence (XRF) analyzers to provide enhanced solutions to customers. In his free time, Josh enjoys running and has run the fastest 100k in the state of Pennsylvania.

Produits utilisés pour cette application

Analyseurs XRF portables Vanta

La gamme d’analyseurs XRF portables Vanta™ regroupe nos appareils XRF les plus récents et les plus puissants. Ces appareils peuvent effectuer rapidement une analyse élémentaire précise et fournir sur site des résultats d’une qualité digne de celle des laboratoires. Très robustes, testés pour la résistance aux chutes et conçus pour satisfaire aux exigences de l’indice de protection IP55 ou IP54, ces analyseurs offrent un excellent temps de fonctionnement à faible coût.