アプリケーションノート

お問い合わせ

斑岩銅金鉱床の分析用ポータブルXRF

By Josh Litofsky

Vanta™ XRF分析計を始めとする、オリンパスのポータブルXRF分析計は、鉱物産業における斑岩鉱床の探査と開発で重要な役割を果たしています。 このアプリケーションノートでは、斑岩の探査と採鉱において検査対象となる共通元素を、Vanta XRF分析計で正確に測定する程度について説明し、斑岩系統の産出度を判別するために有効な元素についても触れます。

斑岩地質系統は莫大な経済的価値を生む大規模な多金属鉱床にあることが多いため、この地質系統の探査は鉱物探査・採掘企業にとって魅力的です。 一般に低コストの露天掘り法で採掘し、鉱山寿命が長い(詳細は下図参照)斑岩系統は、現在世界中で採掘されているほとんどの銅(Cu)とモリブデン(Mo)を占め、すべての金(Au)の約四分の一を占めます。1

図1: 多相斑岩資源と隣接する母岩の中心にある、斑岩Cu ± Au ± Mo鉱床の空間的な相互関係を示す、入り組んだ斑岩銅系統の構造(Dick Sillitoe氏の承諾を得て複製)。 原図:SEG journal “Economic Geology” Handheld X-ray Fluorescence Mineral Explorationより

これらの鉱床の生成と、斑岩鉱物の豊富な可能性への理解を広め、鉱物探査プログラムで効率的に探り当てる手法を開発するために、鉱物業界は学会と協力して多くの努力を重ねています。2、3、4、5

一般的な斑岩構成元素に対するpXRFの性能

下のデータは、OREAS(Ore Research and Exploration Assay Standards)社提供の斑岩銅およびIOCG(酸化鉄型銅金)pXRF商品キットに含まれる認証標準試料(CRM)に対して、すぐに使えるVanta™ pXRFの性能を示したものです。 CRMデータとVanta pXRFの優れた相関は、これらの鉱床タイプの十分に前処理した試料に対して、Vanta pXRFが高精度のデータ品質を提供可能であることを示しています。

Vanta pXRF performance

図2: OREAS社提供の各種キットを使用して認証値と比較した、斑岩銅およびIOCG内の元素に対するVanta pXRFの性能。

また、部分的に前処理された試料や未処理試料に対して、Vanta pXRFが高品質データを生成可能であることについて、多くのデータが公開されています。 こうしたデータのいくつかは、以下の資料で確認できます。

斑岩産出度の指標に対するpXRFの使用

ラボで測定されたストロンチウム(Sr)、イットリウム(Y)、酸化マンガン(II)(MnO)、二酸化ケイ素(SiO2)、ジルコニウム(Zr)の比率のさまざまな組み合わせは、斑岩銅環境の鉱床構成と予期しない貫入を効果的に区別できるものとみなされています。 最近、タスマニア大学(オーストラリア)のCentre for Ore Deposits and Earth Sciences(CODES)とレスター大学(英国)のSchool of Geography, Geology, and Environmentの両者において、探査員が現場で前処理済み試料と未処理試料に対して斑岩産出度を評価できるように、pXRF使用の可能性について調査研究を実施しました。

2019年にGeology Exploration, Environment, Analysis (GEEA)に発表された論文1で、CODESのチームは以下を証明しました。

  1. ラボデータの全体的な編集に基づいて、Sr/YおよびSr/MnOの全岩値は、斑岩銅環境の鉱床構成と予期しない貫入を効果的に区別可能。
  2. 従来の全岩データに対して校正されたpXRFデータは、従来の全岩分析データの代わりに使用して、Sr/Y対 Sr/MnOの銅有望性識別図に提供可能。

CODESチームは次の6つの鉱化地区から、従来のICP-MS/ICP-ES(誘導結合プラズマ質量分析/発光分析)とpXRFによる結果の比較を示しました。(1)Yerington斑岩銅(±Mo-Au)地区(米国)、 (2)Resolution斑岩Cu-Mo鉱床(米国)、 (3)Las Bambas Cu-Feスカルン地区(ペルー)、 (4)Cadia Cu-Au地区(オーストラリア)、 (5)Northparkes Cu-Au地区(オーストラリア)、(6)Cowal Cu-Au地区(オーストラリア)

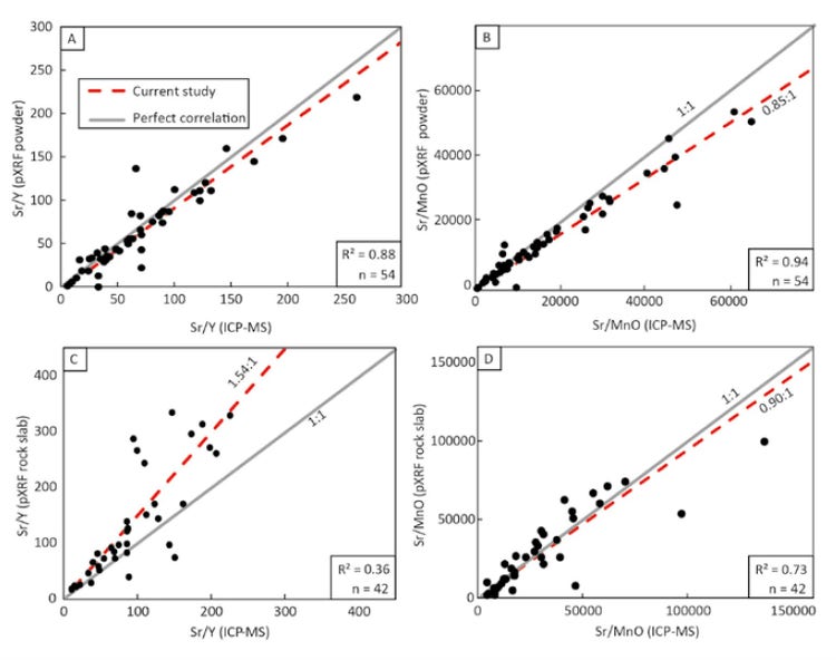
CODESの論文では、パルプ材料(120メッシュ)と完全な岩体(最大粒子サイズ0.5 cm)の両者から収集されたpXRFデータの正確性と精度を評価し、従来のICP-MS/ICP-ES全岩データの結果を比較することにより、現場の未処理岩からpXRFで直接取得したデータに基づき、鉱床構成の貫入の可能性を直接評価できることを示しました。

pXRF data and conventional lab data

図3: CODESの研究:各種試料媒体に対するpXRFデータと従来のラボデータの比較。 (a)Sr/Y:プレスカップ内のパルプ材料から得たpXRFデータとICP-MS/ICP-ESデータ。 (b)Sr/MnO:プレスカップ内のパルプ材料から得たpXRFデータとICP-MS/ICP-ESデータ。 (c)Sr/Y:完全な岩体から得たpXRFデータとICP-MS/ICP-ESデータ。 (d)Sr/MnO:完全な岩体から得たpXRFデータとICP-MS/ICP-ESデータ。

The pXRF data of the pre-, syn-, and post-mineralization intrusive rocks

図4: CODESの研究:産出度フィールドを使用してSr/MnO対Sr/Yについてプロットされた、6か所の斑岩銅およびスカルン鉱床の鉱化作用前、鉱化作用中、鉱化作用後に形成された貫入岩に関する pXRFデータ。 各地区について分析された試料媒体は次のとおりです。 (a)Yerington地区(米国):岩体のみ。 (b)Resolution鉱床(米国):岩体。 (c)Las Bambas地区(ペルー):岩体。 (d)Cadia地区(オーストラリア):パルプ粉。 (e)Cowal地区(オーストラリア):パルプ粉と岩体。 (f)Northparkes地区(オーストラリア):パルプ粉。

Marquis氏他が43rd Annual Meeting of the Mineral Deposits Study Group(ロンドン)で発表した最近の研究で、一連の試料に対するVanta™ pXRFの性能が評価されました。さまざまな試料前処理方法によって、プラスと中間の産出度兆候の混合 (Sr/Y対SiO2とSr/Y対Zr) が見られました。6 同一試料の試験条件は以下のとおりです。

図5: レスター大学の研究:(a)産出度指標としてよく使用されるSr/Y対SiO2の識別プロット図。 (b)Sr/Y対Zrのプロット図。SiO2と比較してZrの精度と正確性が優れていることがわかります。 レスター大学の承諾を得て複製。

この研究では、Vanta分析計が前処理された試料に対して良好な結果を示した一方で、破砕された試料や未処理の岩体に対してはSiO2を正確に分解できないことがわかりました。 これらの試料が不均一な性質を持つことと、pXRFで測定する軽元素に固有の影響によるものと思われます。 ただし、Zrなどの微量な重元素の精度に優れているため、斑岩産出度の指標として、現場での試料に対してもシリカの代わりに使用できます。

図6: インラインのリアルタイム産出度計算による、一部のOREAS斑岩銅試料のスキャン結果。

オリンパスVanta™ pXRF分析計の疑似元素機能を使用すると、検査対象のあらゆる比率を本体画面にいつでも表示できます。 化合物表示機能では、個々の元素に関連する酸化物も表示できます。 これらの計算は、上に示したとおり検査の実行中に本体上で行われます。

Vanta pXRFは、斑岩地質系統の探査・採鉱を強力に進めるツールとして活用できます。 Vanta pXRF分析計の詳細は、お近くのオリンパスにデモのセットアップをご依頼いただくか、当社ウェブサイトwww.ims.evidentscientific.comをご覧ください。

参考文献

  1. Sillitoe, R.H., 2010. Porphyry copper systems. Economic geology, 105(1), pp.3–41.
  2. Houston, R.A. and Dilles, J.H., 2013. Structural geologic evolution of the Butte district, Montana. Economic Geology, 108(6), pp.1397–1424.
  3. Wilkinson, J.J., Chang, Z., Cooke, D.R., Baker, M.J., Wilkinson, C.C., Inglis, S., Chen, H. and Gemmell, J.B., 2015. The chlorite proximitor: A new tool for detecting porphyry ore deposits. Journal of Geochemical Exploration, 152, pp.10–26.
  4. Ahmed, A., Crawford, A.J., Leslie, C., Phillips, J., Wells, T., Garay, A., Hood, S.B. and Cooke, D.R., 2020. Assessing copper fertility of intrusive rocks using field portable X-ray fluorescence (pXRF) data. Geochemistry: Exploration, Environment, Analysis, 20(1), pp.81–97.
  5. Santoro, L., Yav, S.T., Pirard, E., Kaniki, A., Arfè, G., Mondillo, N., Boni, M., Joachimski, M., Balassone, G., Mormone, A. and Cauceglia, A., 2018. Abstracts from the 2017–2018 Mineral Deposits Studies Group meeting. Applied Earth Science, 127(2), pp.46–79.
  6. Marquis, E., Hamp-Gopsill, L.J., Pearse, M., Marvin-Dorland, L., Knott, T.R. and Smith, D.J., 2020. Portable XRF analysis for porphyry fertility indicators, in Abstracts of the 43rd Mineral Deposits Study Group Annual Meeting held at the Natural History Museum, London, UK on 6th-8th January 2020. Appl Earth Sci 129:56-85. doi: 10.1080/25726838.2020.1755092.

Post Author's Photo
https://main--eds-evident-website--evident-scientific.aem.live/en/authors/josh-litofsky/

Josh Litofsky

Application Scientist, XRF Technologies

Josh Litofsky holds a bachelor’s degree in physics from Beloit College and PhD in chemical engineering from Pennsylvania State University. For his PhD, he focused his research on advanced characterization of designer materials using X-ray diffraction. From 2019 to 2022, Josh brought his expertise to Evident as an application scientist, supporting our X-ray fluorescence (XRF) analyzers to provide enhanced solutions to customers. In his free time, Josh enjoys running and has run the fastest 100k in the state of Pennsylvania.

この用途に使用される製品


https://main--eds-evident-website--evident-scientific.aem.live/ja/vanta/

Vanta

VANTAシリーズは携帯性に優れたハンドヘルドタイプながら、素早く高精度な成分分析が可能で、質の高い分析結果を得ることができます。 IP55またはIP54相当の防塵・防水性能を備え、落下試験にも合格しているため、厳しい環境での分析業務にも対応することができます。