애플리케이션 노트

문의하기

구리 금 반암 광상을 분석하기 위한 휴대용 XRF

저자 Josh Litofsky

Vanta™ XRF 분석기와 같은 Evident 휴대용 XRF 기기는 광업에서 반암 광상의 탐사 및 개발에 중요한 역할을 합니다. 이 애플리케이션 노트는 Vanta XRF 분석기가 반암 탐사 및 채굴에서 관심을 끄는 공통 원소 및 반암 계통의 비옥도를 결정하는 데 유용한 원소를 정확하게 측정하는 방법을 보여줍니다.

반암 지질 계통은 종종 엄청난 경제적 가치를 가진 매우 큰 다금속 광상으로 나타나기 때문에 광물 탐사단과 광산 기업에 매력적입니다. 일반적으로 저비용 노천광 방법으로 채굴되고 광산 수명이 긴(자세한 설명은 아래 도표에) 반암 계통은 오늘날 세계에서 채굴되는 대부분의 구리(Cu)와 몰리브덴(Mo)에 해당하며 모든 금(Au)의 약 1/4을 차지합니다.1

그림 1. 다상 반암 축적물에서 중앙에 위치한 반암 Cu ± Au ± Mo 광상과 바로 옆에 있는 모암의 공간적 상호 관계를 보여주는 중첩형 반암동 계통의 구조(Dick Sillitoe의 허락을 받아 재현) SEG 저널 “Economic Geology”의 원본 그림 휴대용 X선 형광 광물 탐사

이러한 광상의 생성과 반암 광상 비옥도의 가능성에 대한 이해를 증진하고, 광물 탐사 프로그램 실행 중 그러한 광상에 효율적으로 적용할 수 있는 기법을 개발하기 위해 광물 업계와 학계가 협력하여 대부분의 작업이 이루어졌습니다.2, 3, 4, 5

일반 반암 구성 원소에 대한 pXRF 성능

아래 데이터는 광석 연구 및 탐사 검사 표준(OREAS)에서 제공한 IOCG(철 산화물 구리 금) pXRF 판매용 키트의 인증 표준물질(CRM)과 반암동 범위에서 Vanta™ pXRF의 개봉 직후 성능을 보여줍니다. CRM 데이터와 Vanta pXRF 사이의 탁월한 상관관계는 Vanta pXRF가 완벽하게 준비한 이러한 광상 유형의 샘플로부터 탁월한 품질의 데이터를 제공할 수 있음을 보여줍니다.

Vanta pXRF performance

그림 2. OREAS에서 제공한 다양한 키트를 사용한 검사 값과 비교한 반암동 및 IOCG 원소에 대한 Vanta pXRF 성능

또한, 상당량의 공개 데이터는 Vanta pXRF가 부분적으로 준비된 샘플과 준비되지 않은 샘플에서 고품질 데이터를 생산할 수 있다는 것을 보여줍니다. 다음 자료에서 이러한 데이터의 일부를 볼 수 있습니다.

반암 비옥도 지표로 사용하는 pXRF

실험실에서 측정된 스트론튬(Sr), 이트륨(Y), 망간(II) 산화물(MnO), 이산화 규소(SiO2) 및 지르코늄(Zr) 비율의 다양한 조합이 반암동 환경의 광석 형성과 예상치 못한 관입암을 효과적으로 판별할 수 있다는 것이 확인되었습니다. 최근, 호주 태즈메이니아 대학교의 광상 및 지구과학 센터(CODES)와 영국 레스터 대학교의 지리, 지질 및 환경학부는 탐사자들이 현장에서 준비된 샘플 및 준비되지 않은 샘플의 반암 비옥도를 검사할 수 있도록 pXRF 사용 가능성의 연구 조사를 수행했습니다.

CODES 팀은 2019년에 지질 탐사, 환경, 분석(GEEA)에서 출간한 논문1에서 다음을 보여주었습니다.

  1. 포괄적으로 모은 실험실 데이터에 따르면, Sr/Y 및 Sr/MnO의 전암 값은 반암동 환경에서 광석 형성과 예상치 못한 관입암을 효과적으로 판별할 수 있습니다
  2. 기존의 전체 암석 데이터로 보정된 pXRF 데이터는 Sr/Y v. Sr/MnO Cu 전향성 판별 도표를 알려주는 기존의 전암 분석 데이터 대신 사용할 수 있습니다

CODES 팀은 기존 ICP-MS/ICP-ES(귀납적으로 결합된 플라스마 질량 분석법 및 방출 분광법)과 다음 6개의 광물화 지구에서 얻은 pXRF 결과에 대한 비교를 제시했습니다. (1) 예링턴 반암동(±Mo-Au) 지구, 미국, (2) 분해능 반암 Cu-Mo 광상, 미국, (3) 라스 밤바스 Cu-Fe 스카른 지구, 페루, (4) 카디아 Cu-Au 지구, 호주, (5) 노스파크스 Cu-Au 지구, 호주 및 (6) 코왈 Cu-Au 지구, 호주.

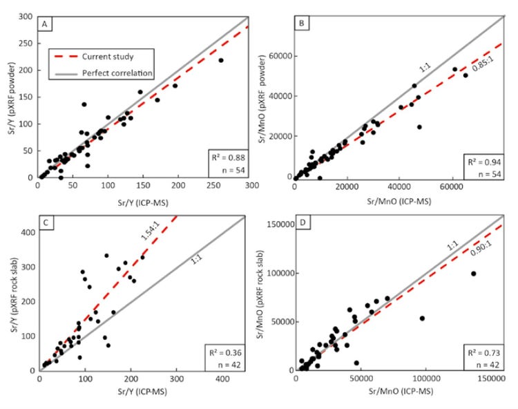
CODES 논문은 펄프 재료(120메시)와 온전한 암석 슬래브(입자 크기 최대 0.5cm)에서 수집한 pXRF 데이터의 정확도와 정밀도를 평가하고 기존 ICP-MS/ICP-ES 전암 데이터의 결과를 비교하여 현장의 처리되지 않은 암석에서 직접 pXRF 데이터를 획득하여 관입암의 광석 형성 가능성을 검사할 수 있음을 보여주었습니다.

pXRF data and conventional lab data

그림 3. CODES 연구—다양한 샘플 매체에 대한 pXRF 데이터와 기존 실험실 데이터의 비교. (a) Sr/Y: 프레스 컵의 펄프 재료에서 얻은 pXRF 데이터와 ICP-MS/ICP-ES 데이터. (b) Sr/MnO: 프레스 컵의 펄프 재료에서 얻은 pXRF 데이터와 ICP-MS/ICP-ES 데이터. (c) Sr/Y: 온전한 암석 슬래브에서 얻은 pXRF 데이터와 ICP-MS/ICP-ES 데이터. (d) Sr/MnO: 온전한 암석 슬래브에서 얻은 pXRF 데이터와 ICP-MS/ICP-ES 데이터.

The pXRF data of the pre-, syn-, and post-mineralization intrusive rocks

그림 4. CODES 연구—비옥도 필드를 사용하는 Sr/MnO v. Sr/Y 도표에 표시된 6개 반암동 및 스카른 지구의 광물화 이전, 광물화 중, 광물화 이후 관입암의 pXRF 데이터. 각 지구에서 분석된 샘플 매체 목록은 다음과 같습니다. (a) 예링턴 지구, 미국, 암석 슬래브만 해당. (b) 분해능 광상, 미국, 암석 슬래브. (c) 라스 밤바스 지구, 페루, 암석 슬래브. (d) 카디아 지구, 호주, 펄프 분말. (e) 코왈 지구, 호주, 펄프 분말 및 암석 슬래브. (f) 노스파크스 지구, 호주, 펄프 분말.

Marquis 등이 제43회 런던 광상 연구 그룹 연례 회의에서 보여 준 최근 작업은 샘플 준비 방법 범위의 영향을 받는 양성 및 중립적인 비옥도 신호(Sr/Y 대 SiO2, Sr/Y 대 Zr)의 혼합을 보여주는 일련의 샘플에서 Vanta™ pXRF의 성능을 평가했습니다.6 해당 샘플은 다음 조건에서 테스트되었습니다.

그림 5. 레스터 대학교 연구—(a) 일반적으로 비옥도 지표로 사용되는 Sr/Y 대 SiO2 판별 플롯. (b) SiO2에 비해 더 나은 Zr 정밀도 및 정확도를 보여주는 Sr/Y 대 Zr. 레스터 대학교의 허가로 재현됨.

이 연구는 Vanta 분석기가 준비된 샘플에서는 잘 작동하지만 부서지거나 온전한 암석에서는 SiO2를 정확히 분해할 수 없음을 밝혀냈습니다. 이 점은 이러한 샘플의 불균질한 성격 및 pXRF로 측정한 더 가벼운 원소에 대한 고유의 영향으로 예상할 수 있습니다. 그러나 Zr과 같은 더 무거운 미량 원소의 더 높은 정확도로 인해 현장 샘플에서도 반암 비옥도의 지표로 실리카 대신 사용할 수 있습니다.

그림 6. 정렬된 실시간 비옥도 순환이 포함된 일부 OREAS 반암광 샘플의 스캔 결과.

Evident Vanta™ pXRF의 Pseudo Elements 기능을 사용하면 모든 관심 비율을 언제든지 기기 화면에 표시할 수 있습니다. 또한 화합물 표시 기능을 사용하면 Vanta 분석기에 개별 원소와 관련된 산화물을 표시할 수 있습니다. 이러한 계산은 위와 같은 테스트가 진행될 때 기기에서 완료됩니다.

Vanta pXRF 기기를 반암 지질 계통을 더 잘 탐사하고 채굴하기 위한 강력한 도구로 사용할 수 있습니다. Vanta pXRF 분석기에 대해 더 자세히 알아보려면, 현지 영업 담당자에게 연락하여 시연을 요청하거나 www.ims.evidentscientific.com에서 온라인으로 문의하십시오.

참고 문헌

  1. Sillitoe, R.H., 2010. 반암광 계통. Economic geology, 105(1), pp.3–41.
  2. Houston, R.A.와 Dilles, J.H., 2013. 몬태나 주 뷰트 지구의 구조 지질학적 진화. Economic Geology, 108(6), pp.1397–1424.
  3. Wilkinson, J.J., Chang, Z., Cooke, D.R., Baker, M.J., Wilkinson, C.C., Inglis, S., Chen, H.와 Gemmell, J.B., 2015. 염소산염 간격측정기: 반암 광상을 검출하는 새로운 도구. Journal of Geochemical Exploration, 152, pp.10–26.
  4. Ahmed, A., Crawford, A.J., Leslie, C., Phillips, J., Wells, T., Garay, A., Hood, S.B.와 Cooke, D.R., 2020. 현장 휴대용 X선 형광(pXRF) 데이터를 사용한 관입암의 구리 비옥도 검사. Geochemistry: Exploration, Environment, Analysis, 20(1), pp.81–97.
  5. Santoro, L., Yav, S.T., Pirard, E., Kaniki, A., Arfè, G., Mondillo, N., Boni, M., Joachimski, M., Balassone, G., Mormone, A.와 Cauceglia, A., 2018. 2017–2018 광상 연구 그룹 회의 초록. Applied Earth Science, 127(2), pp.46–79.
  6. Marquis, E., Hamp-Gopsill, L.J., Pearse, M., Marvin-Dorland, L., Knott, T.R.과 Smith, D.J., 2020. 2020년 1월 6~8일 영국 런던의 자연사 박물관에서 열린 제43회 광상 연구 그룹 연례 회의 초록에 실린 반암 비옥도 지표의 휴대용 XRF 분석. Appl Earth Sci 129:56-85. doi: 10.1080/25726838.2020.1755092.

Post Author's Photo
https://main--eds-evident-website--evident-scientific.aem.live/ko/authors/josh-litofsky/

Josh Litofsky

학술 지원, ANI-XRF 및 XRD 기술

Josh Litofsky는 텍사스 휴스턴에 있는 미주 Evident 주식회사의 학술 고문입니다. 그는 2019년에 Evident에 합류했으며, Evident X선 형광 및 X선 회절 제품군을 지원하여 고객에게 향상된 솔루션을 제공합니다. 벨로이트 대학에서 물리학 학사 학위를 취득한 후 펜실베니아 주립 대학교에서 화공학 박사 학위를 취득했으며, X선 회절을 이용한 디자이너 재료의 고급 특성화에 대한 연구 논문을 작성했습니다. 여가 시간에 Josh는 달리기를 좋아하며, 펜실베니아 주에서 100 킬로미터를 가장 빨리 주파한 경력이 있습니다.

이 애플리케이션에 사용되는 제품


https://main--eds-evident-website--evident-scientific.aem.live/ko/vanta/

Vanta

Vanta™ 휴대용 XRF 분석기 시리즈는 최신의 가장 강력한 휴대용 XRF 장치로서 현장에서 실험실 품질의 결과를 요구하는 고객을 위해 신속하고 정확한 요소 분석을 제공합니다. 분석기는 IP55 또는 IP54 등급으로 견고하게 제작됐으며, 가동 시간 향상과 소유 비용 절감을 위해 낙하 시험을 거쳤습니다.