应用笔记

联系我们

用于分析铜金斑岩矿床的手持式光谱分析仪

作者 Josh Litofsky

Evident手持式光谱分析仪,如Vanta XRF分析仪,在矿产行业斑岩矿床的勘探和开发中发挥着重要作用。这则应用注释说明了Vanta手持式光谱分析仪如何能够在斑岩勘探和采矿过程中准确地测量需要关注的常见元素,以及用于确定斑岩系统开采潜力的元素。

寻找斑岩地质系统对矿产勘探和采矿公司很有吸引力,因为这种系统往往蕴藏着具有巨大经济价值的大型多金属矿床。斑岩系统通常采用成本较低的露天开采方法开采,且矿山寿命较长(详见下图),当今世界上所开采的大部分铜(Cu)和钼(Mo),以及约四分之一的金(Au)都是从斑岩系统中获得的。

图1. 叠套型斑岩铜系统的解析图表明了多相斑岩矿中位于中心的斑岩铜 ± 金 ± 钼矿床与其毗邻主岩之间的空间相互关系(经Dick Sillitoe许可,在此转载)。原始图源自SEG杂志“经济地质学”部分的文章“采用手持式X射线荧光技术进行矿产勘探”。

矿产行业与学术界合作,开展了大量工作,以增进对斑岩矿床的成因和开采潜力的了解,并开发出可在矿产勘探计划中有效完成矿体定向的技术。2、3、4、5

手持式XRF分析仪检测常见的斑岩组成元素的性能

以下数据表明了Vanta手持式光谱分析仪在分析一系列由OREAS(矿石研究和勘探分析标准公司)提供的斑岩铜认证参考样品(CRM)和IOCG(氧化铁铜金)pXRF商用试剂盒样品时表现出的开箱即用性。CRM数据与Vanta手持式光谱分析仪所获得的数据高度吻合,表明Vanta手持式XRF分析仪在分析采自这些矿床类型的完全制备好的样品时可提供高质量的数据。

Vanta pXRF performance

图2. Vanta手持式XRF分析仪测量由OREAS提供的放于各种试剂盒中的斑岩铜和IOCG元素所获得的数据与这些样品的额定值高度吻合,表明了Vanta分析仪测量这些元素的出色性能。

此外,许多公开数据也表明Vanta矿石分析仪在检测部分制备和未制备样品时也能提供高质量的数据。您可以在以下资源库的材料中查看其中一些数据:

使用矿石分析仪检测可表明斑岩是否具有可开采潜力的指示元素

在实验室中测量的锶(Sr)、钇(Y)、氧化锰(MnO)、二氧化硅(SiO2)和锆(Zr)的不同比例组合可用于有效区分斑岩铜环境中的成矿特性和妨碍成矿的侵入体。最近,澳大利亚塔斯马尼亚大学矿床和地球科学中心(CODES)和英国莱斯特大学地理、地质和环境学院都对手持式分析仪在现场检测制备好和未制备样品以帮助勘探人员评估斑岩可开采性的能力进行了研究。

CODES团队2019年发表在《地质勘探、环境、分析》(GEEA)杂志上的一篇论文1阐述了以下观点:

  1. 基于实验室数据的总体汇编,Sr/Y和Sr/MnO的全岩值可以有效区分斑岩铜环境中的成矿特性和妨碍成矿的侵入体。
  2. 根据传统的全岩数据得到校准的pXRF数据,可代替传统的全岩分析数据,提供Sr/Y对比Sr/MnO的铜矿前景判别图表。

CODES团队展示了他们对使用传统ICP-MS/ICP-ES(电感耦合等离子体质谱法和发射光谱法)和手持式XRF分析仪检测来自六个矿区的样品所获得结果进行比较的情况:(1)美国Yerington斑岩铜矿区(±钼-金);(2)美国Resolution斑岩铜-钼矿床;(3)秘鲁Las Bambas铜-铁矽卡岩矿区;(4)澳大利亚Cadia铜-金矿区;(5)澳大利亚Northparkes铜-金矿区;(6)澳大利亚Cowal铜-金矿区。

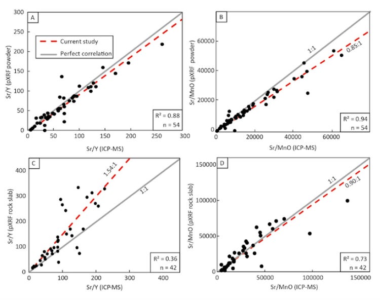
通过评估使用手持式XRF分析仪对矿浆材料(120目)和完整岩板(最大粒度0.5 cm)进行检测所获得数据的准确性和精密性,并将XRF数据与传统的ICP-MS/ICP-ES全岩数据结果进行比较,CODES论文得出结论:矿石分析仪可以直接在现场对未加工岩石进行检测,并成功获取数据,以评估侵入体的成矿潜力。

pXRF data and conventional lab data

图3.CODES的研究:手持式XRF分析仪和传统实验室检测不同样品介质所获数据之间的比较。(a)Sr/Y:通过检测放于密封杯中的矿浆材料获得的手持式XRF数据和ICP-MS/ICP-ES数据。(b)Sr/MnO:通过放于密封杯中的矿浆材料获得的手持式XRF数据和ICP-MS/ICP-ES数据。(c)Sr/Y:通过检测完整岩板获得的手持式XRF数据和ICP-MS/ICP-ES数据。 (d)Sr/MnO:通过检测完整岩板获得的手持式XRF数据和ICP-MS/ICP-ES数据。

The pXRF data of the pre-, syn-, and post-mineralization intrusive rocks

图4.CODES的研究:检测来自六个斑岩铜和矽卡岩矿区的矿化前、矿化中和矿化后侵入岩而获得的手持式XRF数据,绘于表明了具有可开采潜力区域的Sr/MnO对比Sr/Y的图表中。这里列出了为每个矿区分析的样品介质。(a)美国Yerington矿区;仅岩板。(b)美国Resolution矿床,岩板。(c)秘鲁Las Bambas矿区,岩板。(d)澳大利亚Cadia矿区,矿浆粉。(e)澳大利亚Cowal矿区,矿浆粉和岩板。(f)澳大利亚Northparkes矿区,矿浆粉。

Marquis等人在伦敦举行的矿床研究小组第43届年会上介绍了他们的新近研究成果:通过对一系列采用不同方法制备、显示各种不同肯定和中性可开采信号组合的样品(Sr/Y对比SiO2;Sr/Y对比Zr)进行检测,评估Vanta手持式XRF的性能。6他们采用了以下不同的方式对相同的样品进行了检测:

图5.莱斯特大学的研究:(a) Sr/Y对比SiO2的判别图表,通常用作可开采潜力指示。(b) Sr/Y与Zr的对比表明Zr比SiO2的精确度和准确度更好。经莱斯特大学许可转载。

该项研究发现,Vanta分析仪在检测制备好的样品时性能出色,但无法准确辨别碾碎样品或完整岩石中的SiO2。这个结论可以预料,因为这些样品具有异质性,且本来就会影响由手持式XRF分析仪测量的较轻的元素。不过,痕量元素越重,准确性越高,如Zr,因此即使在野外样品中,也可以使用较重的元素代替二氧化硅,作为斑岩可开采潜力的指示元素。

图6. 对OREAS的一些铜斑岩样品进行检测,可在线实时计算可开采性。

使用EvidentVanta手持式XRF分析仪上的伪元素功能,可随时在分析仪屏幕上显示任何感兴趣的比率。此外,化合物显示功能可使Vanta分析仪显示与单个元素相结合的氧化物。分析仪在检测过程中完成这些计算,如上图所示。

Vanta手持式XRF分析仪可以作为一种强大的工具,更好地勘探和开采斑岩地质系统。要了解有关Vanta手持式XRF分析仪的更多信息,请联系您所在地的销售代表,请求他们为您安排演示,或在线联系我们:https://ims.evidentscientific.com/zh/。

参考文献

  1. Sillitoe, R.H.,2010年。“斑岩铜系统”, 《经济地质学》,105(1),第3-41页。
  2. Houston, R.A.和Dilles, J.H.,2013年。 “蒙大拿州布特区的结构性地质演变”,《经济地质学》,108(6),第1397-1424页。
  3. Wilkinson, J.J.,Chang, Z.,Cooke, D.R.,Baker, M.J.,Wilkinson, C.C.,Inglis, S.,Chen, H.和Gemmell, J.B.,2015年。 “绿泥石指示物:一种用于探测斑岩矿床的新工具”,《地球化学勘探杂志》,152,第10-26页。
  4. Ahmed, A.,Crawford, A.J.,Leslie, C.,Phillips, J.,Wells, T.,Garay, A.,Hood, S.B.和Cooke, D.R.,2020年。“使用现场便携式X射线荧光(pXRF)数据评估侵入岩的铜的可开采潜力”。《地球化学:勘探、环境、分析》,20(1),第81-97页。
  5. Santoro, L.,Yav, S.T.,Pirard, E.,Kaniki, A.,Arfè, G.,Mondillo, N.,Boni, M.,Joachimski, M.,Balassone, G.,Mormone, A.和Cauceglia, A., 2018年。“2017-2018年矿床研究小组会议摘要”《应用地球科学》,127(2),第46-79页。
  6. Marquis, E.,Hamp-Gopsill, L.J.,Pearse, M.,Marvin-Dorland, L.,Knott, T.R.和Smith, D.J.,2020年。便携式XRF分析可发现斑岩可开采潜力的指示元素,2020年1月6日至8日在英国伦敦自然历史博物馆举行的第43届矿床研究小组年会的文章摘要。《应用地球科学》,129:56-85。 doi:10.1080/25726838.2020.1755092.

Post Author's Photo
https://main--eds-evident-website--evident-scientific.hlx.live/en/authors/josh-litofsky/

Josh Litofsky

Application Scientist, XRF Technologies

Josh Litofsky holds a bachelor’s degree in physics from Beloit College and PhD in chemical engineering from Pennsylvania State University. For his PhD, he focused his research on advanced characterization of designer materials using X-ray diffraction. From 2019 to 2022, Josh brought his expertise to Evident as an application scientist, supporting our X-ray fluorescence (XRF) analyzers to provide enhanced solutions to customers. In his free time, Josh enjoys running and has run the fastest 100k in the state of Pennsylvania.

应用所使用的产品


https://main--eds-evident-website--evident-scientific.hlx.live/zh/vanta/

Vanta分析仪

Vanta手持式XRF分析仪系列是我公司新近推出的一款性能强大的手持式XRF设备,可以为那些要求在野外环境获得精准分析水平的用户,进行快速精确的元素分析。分析仪的机身非常坚固,符合IP55或IP54评级标准,通过了坠落测试,可以正常运行更长的时间,而且其拥有成本较低。