Note applicative

Contattaci

Analizzatori XRF portatili per l'analisi di giacimenti di porfido con rame e oro

By Josh Litofsky

Gli analizzatori XRF portatili Evident, come l'analizzatore XRF Vanta™, hanno un ruolo primario nell'esplorazione e sviluppo dei giacimenti di porfido nell'ambito del settore minerario. Questa nota applicativa dimostra come l'analizzatore XRF Vanta possa misurare con precisione: i comuni elementi di interesse durante le attività esplorative e estrattive del porfido; gli elementi utili per la determinazione del potenziale dei sistemi porfirici.

La ricerca di sistemi geologici porfirici risulta un'attività interessante per le compagnie esplorative e minerarie visto che spesso si tratta di estesi giacimenti polimetallici di rilevante valore metallico. In genere sfruttati mediante miniere superficiali a basso costo e di lunga durata (illustrati in dettaglio nello schema sottostante), i sistemi porfirici contengono la maggior parte del rame (Cu) e molibdeno (Mo) estratto attualmente a livello globale e circa un quarto dell'oro (Au).1

Figura 1. Analisi di dettaglio di un sistema porfirico con rame che illustra un'interrelazione spaziale di un deposito porfirico di Cu ± Au ± Mo posizionato centralmente in uno stock porfirico multifase con le relative rocce ospitanti in prossimità (riproduzione per gentile concessione di Dick Sillitoe). Figura originale tratta dalla rivista SEG "Economic Geology"; esplorazione mineraria con analizzatore a fluorescenza a raggi X portatile

Il maggior contributo è stato fornito dal settore minerario con la collaborazione dell'università per una maggiore comprensione della genesi di questi giacimenti, per una definizione del potenziale del giacimento porfirico e per lo sviluppo di tecniche volte all'efficiente individuazione di questi giacimenti nell'ambito dei programmi esplorativi dei minerali.2, 3, 4, 5

Prestazioni degli analizzatori pXRF nei confronti dei comuni elementi costituenti dei porfidi

I dati riportati di seguito illustrano le eccezionali prestazioni degli analizzatori pXRF Vanta™ su diversi tipi di materiali di riferimento certificati (CRM) attraverso il kit per materie prime per pXRF di rame porfirico e IOCG (iron oxide copper gold [ossido di ferro, rame e oro]) fornito dall'OREAS (Ore Research and Exploration Assay Standards [materiali di riferimento per analisi per la ricerca e l'esplorazione di minerali]). L'eccellente correlazione tra i dati CRM e l'analizzatore pXRF Vanta mostra che l'analizzatore pXRF Vanta fornisce un'eccellente qualità dei dati su campioni completamente preparati ricavandoli da questi tipi di giacimenti.

Vanta pXRF performance

Figura 2. Prestazioni di analizzatori pXRF Vanta di elementi in rame porfirico e IOCG confrontate a valori di analisi di laboratorio mediante diversi tipi di kit forniti dall'OREAS.

Inoltre molti dati disponibili pubblicamente mostrano come l'analizzatore pXRF Vanta possa produrre dei dati di alta qualità su campioni non preparati o parzialmente preparati. È possibile consultare alcuni di questi dati attraverso le seguenti risorse:

Uso degli analizzatori pXRF per gli indicatori di potenziale di porfido

Diverse combinazioni di rapporti di stronzio (Sr), ittrio (Y), ossido di manganese (II) (MnO), diossido di silicio (SiO2) e zirconio (Zr) misurati in laboratorio sono stati identificati come discriminatori potenzialmente efficaci tra la formazione minerale e le intrusioni non prospettiche in configurazioni porfiriche con rame. Recentemente il CODES (Centre for Ore Deposits and Earth Sciences) dell'Università della Tasmania (Australia) e la Facoltà di Geografia, Geologia e Scienze ambientali dell'Università di Leicester (Gran Bretagna) hanno eseguito delle ricerche per verificare l'efficacia dell'uso degli analizzatori pXRF per la valutazione del potenziale del porfido sul campo su campioni preparati e non preparati.

In un articolo 1 pubblicato nel 2019 su Geology Exploration, Environment, Analysis (GEEA), il team del CODES ha dimostrato che:

  1. In base alla compilazione di dati di laboratorio a livello globale, i valori di rocce intere di Sr/Y e Sr/MnO permettono di discriminare in modo efficace la formazione minerale e le intrusioni non prospettiche in un contesto con porfidi con rame.
  2. I dati acquisiti con analizzatori pXRF, tarati in base a dati convenzionali di rocce intere, possono essere usati al posto di dati analitici convenzionali di rocce intere per costituire il grafico di discriminazione prospettica del rame del Sr/Y in funzione del Sr/MnO.

Il team CODES ha presentato delle comparazioni dei risultati ICP-MS/ICP-ES convenzionali (spettrometria di massa a plasma accoppiato induttivamente e spettrometria di emissione) e pXRF di sei aree minerarie: (1) L'area estrattiva di porfido con rame (±Mo-Au) di Yerington (USA); (2) Il giacimento di porfido con Cu-Mo di Resolution (USA); (3) L'area estrattiva di skarn Cu-Fe di Las Bambas (Peru); (4) L'area estrattiva di Cu-Au (Australia); (5) L'area estrattiva di Cu-Au di Northparkes (Australia); (6) L'area estrattiva di Cu-Au di Cowal (Australia).

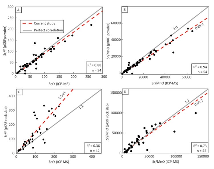
Valutando l'accuratezza e la precisione dei dati pXRF acquisiti da campioni di pasta (setaccio 120) e pezzi intatti di rocce (granulometria massima di 0,5 cm) e confrontando i risultati dei dati di lastre intere di rocce ICP-MS/ICP-ES convenzionali, lo studio del CODES ha dimostrato che i dati pXRF possono essere ottenuti con successo direttamente sul campo attraverso rocce non trattate per valutare il potenziale di formazione minerale delle intrusioni.

pXRF data and conventional lab data

Figura 3. Studio del CODES — Confronti tra i dati pXRF e i dati di laboratorio convenzionali per diversi tipi di campioni. (a) Sr/Y: Dati pXRF acquisiti da pasta in portacampioni a pressione e dati ICP-MS/ICP-ES. (b) Sr/MnO: Dati pXRF acquisiti da pasta in portacampioni a pressione e dati ICP-MS/ICP-ES. (c) Sr/Y: Dati pXRF acquisiti da lastre intere di rocce e dati ICP-MS/ICP-ES. (d) Sr/MnO: Dati pXRF acquisiti da lastre intere di rocce e dati ICP-MS/ICP-ES.

The pXRF data of the pre-, syn-, and post-mineralization intrusive rocks

Figura 4. Studio del CODES — I dati pXRF delle rocce intrusive pre-mineralizzazione, sin-mineralizzazione e post-mineralizzazione acquisiti in sei aree minerarie con porfido con rame e skarn riportati su grafici di Sr/MnO in funzione di Sr/Y mediante i campi del potenziale. Il tipo di campione analizzato per ogni area è elencato di seguito. (a) Area estrattiva di Yerington (USA); solamente lastre di rocce. (b) Giacimento di Resolution (USA); lastre di rocce. (c) Area estrattiva di Las Bambas (Peru); lastre di rocce. (d) Area estrattiva di Cadia (Australia); pasta. (e) Area estrattiva di Cowal (Australia); pasta e lastre di rocce. (f) Area estrattiva di Northparkes (Australia); pasta.

Nel recente studio presentato al 43° meeting annuale del Mineral Deposits Study Group a Londra realizzato da Marquis et al. sono stati studiate le prestazioni degli analizzatori pXRF Vanta™ su una serie di campioni, mostrando una combinazione di indicazioni di potenziale positivo e neutro (Sr/Y in funzione di SiO2 e Sr/Y in funzione di Zr) soggetta a diversi metodi di preparazione dei campioni.6 Gli stessi campioni sono stati analizzati in base alle seguenti condizioni:

Figura 5. Studio dell'Università di Leicester — (a) Grafico di discriminazione di Sr/Y in funzione di SiO2 usato come indicatore del potenziale. (b) Il grafico Sr/Y in funzione di Zr mostra la precisione e l'accuratezza del Zr in confronto al SiO2. Riproduzione con l'autorizzazione dell'Università di Leicester.

Questo studio ha determinato che l'analizzatore Vanta ha funzionato in modo ottimale su campioni preparati ma non può definire con precisione il SiO2 su rocce intere o polverizzate. Questo è dovuto alla natura eterogenea di questi campioni e all'impatto sugli elementi leggeri misurati con gli analizzatori pXRF. Tuttavia, la migliore precisione degli elementi in tracce più pesanti, come il Zr, permette di usarli al posto del silicio, anche su campioni sul campo, in qualità di indicatore del potenziale porfirico.

Figura 6. Analisi di alcuni campioni di porfido con rame OREAS con calcolo del potenziale in tempo reale e in linea.

Utilizzando la funzione Pseudo Elements dell'analizzatore pXRF Vanta™ Evident, qualunque rapporto di interesse può essere visualizzato sulla schermata dell'analizzatore in qualunque momento. Inoltre la funzione di visualizzazione del composto permette all'analizzatore Vanta di visualizzare l'ossido associato ai singoli elementi. Questi calcoli sono eseguiti nello strumento durante la realizzazione delle analisi come riportato precedentemente.

Gli analizzatori pXRF Vanta possono essere usati come strumenti efficaci per esplorare e sfruttare in modo efficace i sistemi geologici porfirici. Per maggior informazioni sull'analizzatore pXRF Vanta, contattare il proprio rappresentante locale per organizzare una dimostrazione o contattarci attraverso il sito www.ims.evidentscientific.com.

Bibliografia

  1. Sillitoe, R.H., 2010. Porphyry copper systems. Economic geology, 105(1), pp.3–41.
  2. Houston, R.A. and Dilles, J.H., 2013. Structural geologic evolution of the Butte district, Montana. Economic Geology, 108(6), pp.1397–1424.
  3. Wilkinson, J.J., Chang, Z., Cooke, D.R., Baker, M.J., Wilkinson, C.C., Inglis, S., Chen, H. and Gemmell, J.B., 2015. The chlorite proximitor: A new tool for detecting porphyry ore deposits. Journal of Geochemical Exploration, 152, pp.10–26.
  4. Ahmed, A., Crawford, A.J., Leslie, C., Phillips, J., Wells, T., Garay, A., Hood, S.B. and Cooke, D.R., 2020. Assessing copper fertility of intrusive rocks using field portable X-ray fluorescence (pXRF) data. Geochemistry: Exploration, Environment, Analysis, 20(1), pp.81–97.
  5. Santoro, L., Yav, S.T., Pirard, E., Kaniki, A., Arfè, G., Mondillo, N., Boni, M., Joachimski, M., Balassone, G., Mormone, A. and Cauceglia, A., 2018. Abstract del meeting del Mineral Deposits Studies Group del 2017–2018. Applied Earth Science, 127(2), pp.46–79.
  6. Marquis, E., Hamp-Gopsill, L.J., Pearse, M., Marvin-Dorland, L., Knott, T.R. and Smith, D.J., 2020. Portable XRF analysis for porphyry fertility indicators, negli Abstract del 43° meeting del Mineral Deposits Study Group organizzato il 6-8 gennaio 2020 presso il Museo di Storia Naturale di Londra (Gran Bretagna). Appl Earth Sci 129:56-85. doi: 10.1080/25726838.2020.1755092.

Post Author's Photo
https://main--eds-evident-website--evident-scientific.aem.live/en/authors/josh-litofsky/

Josh Litofsky

Application Scientist, XRF Technologies

Josh Litofsky holds a bachelor’s degree in physics from Beloit College and PhD in chemical engineering from Pennsylvania State University. For his PhD, he focused his research on advanced characterization of designer materials using X-ray diffraction. From 2019 to 2022, Josh brought his expertise to Evident as an application scientist, supporting our X-ray fluorescence (XRF) analyzers to provide enhanced solutions to customers. In his free time, Josh enjoys running and has run the fastest 100k in the state of Pennsylvania.

Prodotti per l'applicazione

Vanta

Le serie di analizzatori XRF portatili Vanta™ rappresentano gli strumenti XRF portatili più recenti e potenti Evident. Sono in grado di realizzare delle analisi elementari precise per i clienti che devono ottenere direttamente sul campo dei risultati di qualità di laboratorio. Gli analizzatori sono progettati per assicurare resistenza, un grado di protezione IP54 o IP55, e una conformità ai test di caduta, garantendo un maggiore tempo di operatività e un minore costo di proprietà.