애플리케이션 노트

문의하기

블로 몰딩 산업에서 벽 두께 측정

블로 몰딩 산업에서 벽 두께 측정

이 애플리케이션 노트에서는 블로 몰딩 산업의 벽 두께 측정에 대해 살펴봅니다. 블로 몰딩 부품의 벽 두께를 측정하는 데 사용되는 장비, 방법, 보정 및 절차에 대해 자세히 알아보십시오.

블로 몰딩 부품의 품질 관리

수년 동안, 블로 몰딩 부품의 품질을 관리할 때 다용도 칼로 부품을 절단하여 캘리퍼로 두께를 측정하는 작업이 이루어졌습니다. 이러한 기존 테스트 방법에는 몇 가지 문제가 있습니다. 부품을 절단하면 보통 절단면에 버가 남습니다. 작업자가 벽 두께를 측정할 때 버까지 포함하면 그 값은 실제 벽 측정값이 아닙니다.

작업자가 주의를 기울이고 왜곡된 모서리를 피한다고 해도, 기계 장치로 측정할 수 있는 위치가 여전히 제한됩니다. 부품의 형상 때문에 좁은 모서리나 병의 손잡이 부분에 접근이 제한되는 경우가 많습니다. 두께를 측정하기 위해 부품을 파괴하면 이 부품을 대부분의 다른 검사에는 사용할 수 없습니다.

작업자의 숙련도가 가지각색인 것도 문제입니다. 캘리퍼를 부품에 대고 비스듬히 잡으면 오류가 발생할 수 있습니다. 조(jaw) 압력으로 압축할 수 있는 재료에 캘리퍼를 사용하는 경우 두께 값은 작업자마다 다릅니다. 잠재적인 안전 문제도 존재합니다. 작업자는 한 근무조에서 다용도 칼로 부품을 여러 번 절단해야 하기 때문에 심각한 부상의 위험이 있습니다.

이러한 문제를 줄이거나 제거할 수 있는 두 가지 전자식 방법은 초음파 측정과 홀 효과 측정입니다. 두 가지 방법은 모두 오늘날 블로 몰딩의 품질 관리에 일반적으로 사용됩니다. 일반적으로 측정 방법은 테스트할 제품에 따라 달라집니다. 이 애플리케이션 노트에서는 블로 몰딩 부품의 측정 방법을 선택할 때 고려해야 할 주요 요소를 다룹니다.

초음파 측정기로 벽 두께를 측정하는 방법

초음파 두께 측정기를 사용하면 부품을 손상시키지 않고 부품의 한 면에서 벽 두께를 정확하고 신뢰할 만하고 반복 가능한 방식으로 측정할 수 있습니다. 이 방법은 초음파의 진동이 부품을 통과하는 데 걸리는 시간을 측정하는 방식으로 작동합니다. 변환기는 측정할 부품의 표면에 배치되고, 일반적으로 글리세린, 프로필렌 글리콜 또는 물 같은 액체를 사용하여 부품에 음향 결합됩니다.

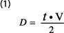
그런 다음 음파가 접촉 표면에서 반대쪽 표면으로 이동한 후 변환기에 에코로 되돌아옵니다(그림 1). 측정기는 재료를 통과하는 음파의 전송 시간을 측정합니다(그림 2). 측정기는 측정 대상 재료의 음속을 사용하여 다음 등식으로 재료의 두께를 계산합니다.

그림 1. 변환기를 부품에 배치합니다. 변환기의 음파가 접촉 표면과 뒤쪽 표면 사이를 왕복합니다.

그림 1. 변환기를 부품에 배치합니다. 변환기의 음파가 접촉 표면과 뒤쪽 표면 사이를 왕복합니다.

그림 2. 초기 펄스는 부품에 진입하는 음파를 나타냅니다. 후면 벽 에코는 반대쪽 표면에서 돌아오는 음파를 나타냅니다. “t”는 음파의 전파 시간입니다. 모드 1은 초기 펄스와 후면 벽 에코를 사용하여 두께를 측정하는 방법을 나타냅니다.

그림 2. 초기 펄스는 부품에 진입하는 음파를 나타냅니다. 후면 벽 에코는 반대쪽 표면에서 돌아오는 음파를 나타냅니다. “t”는 음파의 전파 시간입니다. 모드 1은 초기 펄스와 후면 벽 에코를 사용하여 두께를 측정하는 방법을 나타냅니다.

초음파 측정기 보정

초음파 측정기는 오류가 발생하는 조건을 이해하고 몇 가지 간단한 예방 조치를 취하면 매우 정확해집니다.측정기를 올바르게 보정하면 정확한 벽 두께가 표시됩니다. 보정 과정에는 두께가 알려져 있는 재료 샘플이 필요합니다.

일반적으로 측정기는 측정할 재료의 최대 두께와 최소 두께를 나타내는 샘플에서 설정됩니다. 재료 음속과 원점 오프셋(변환기 관련 매개 변수)은 표준 시료의 알려진 두께를 입력하는 간단한 키패드 조작을 통해 설정합니다. 측정기는 알려진 두께를 사용하여 해당 재료와 변환기에 대한 음속과 원점 오프셋을 각각 계산합니다. 측정기에서 두께를 측정할 때는 보정된 속도를 사용하여 제품 두께를 계산합니다.

초음파 측정의 이점 및 한계

초음파 측정의 주요 이점은 두께 측정 시 검사 재료의 한 면에만 접근하면 되기 때문에 밀폐된 용기, 대형 시트, 기타 양면 접근이 어렵거나 불가능한 형상 등을 측정할 수 있다는 것입니다. 측정기는 일반적으로 손에 들 수 있고 사용하기도 편리합니다.

잠재적인 한계는 측정 정확도가 재료와 음속이 알려진 정확도만큼만 좋다는 것입니다. 결과적으로, 재료의 음속이 예측할 수 없게 변하는 경우 이 방법은 부정확할 수 있습니다. 속도는 상당한 온도 변화나 밀도 변화 등 재료 특성의 변화로 인해 영향을 받을 수 있습니다.대부분의 플라스틱은 온도 변화가 5°C(10°F)를 초과할 때 재료 속도가 눈에 띄게 변화합니다.

온도로 인한 오류를 예방하는 가장 쉬운 방법은 주변 온도에서 보정하고 측정하는 것입니다. 이렇게 할 수 없는 경우, 제조 공정 중 알려진 일정한 위치에서 보정과 측정을 해야 합니다. 대부분의 표준 변환기는 약 50°C(122°F)보다 뜨거운 부품과 접촉하면 손상되므로, 특수 변환기를 사용하는 경우가 아니면 고온에서 검사하지 않는 것이 좋습니다.

부품 내부는 뜨겁고 외부 표면은 서늘한 두꺼운 벽 제품은 부품 외부에서 내부까지의 온도 편차가 클 수 있습니다. 이러한 온도 변화는 부품 벽을 통해 상당한 속도 변화를 일으켜 측정 불확실성이 발생할 수 있습니다.

홀 효과 측정기로 벽 두께를 측정하는 방법

다른 전자식 측정 방법에서는 홀 효과라고 하는 현상을 이용합니다. 홀 효과는 전류를 전달하는 도체에 직각으로 가해지는 자기장을 사용합니다. 이 조합에는 다른 방향의 전압이 포함됩니다. 질량이 알려져 있는 강구와 같은 강자성의 대상이 자기장에 놓이면 유도 전압이 변경됩니다. 대상이 자석에서 멀어지면 자기장과 그에 따른 유도 전압이 예측 가능한 방식으로 변경됩니다. 이러한 유도 전압의 변화를 그래프로 표시하면 프로브에서 대상까지의 거리와 유도 전압을 비교하는 곡선을 생성할 수 있습니다(그림 3).

측정하기 위해, 측정할 제품의 한 면에 홀 프로브를 놓고 제품의 다른 면에 강자성의 대상(일반적으로 작은 대상 강구)을 놓습니다. 측정기에 대상과 프로브 사이의 거리(벽 두께)가 표시됩니다.

그림 3. 측정할 부품의 한쪽 면에 대상 볼을 놓습니다. 프로브를 부품의 반대쪽에 배치하고, 볼이 프로브로 끌어 당겨집니다.

그림 3. 측정할 부품의 한쪽 면에 대상 볼을 놓습니다. 프로브를 부품의 반대쪽에 배치하고, 볼이 프로브로 끌어 당겨집니다.

홀 효과 측정기 보정

홀 효과 측정기는 알려진 두께의 심을 프로브에 배치하고 심 위에 볼을 배치한 다음 알려진 각 두께를 장비에 입력하여 보정합니다. 보정 중에 기기에 입력된 정보를 사용하여 측정기에서 조회 표를 만들어 사실상 전압 변화 곡선을 그릴 수 있습니다. 측정기에서 조회 표와 비교해 측정된 값을 확인하고 디지털 측정값에 두께를 표시합니다. 이 과정이 복잡해 보일 수 있지만, 작업자가 보정 중에 알려진 값만 입력하면 비교와 계산은 측정기에서 수행합니다. 보정 과정은 자동으로 이루어지므로 작업자는 측정을 가능하게 하는 물리학에 대해 알 필요가 없습니다.

홀 효과 측정의 이점 및 한계

홀 효과 측정에는 다음과 같은 몇 가지 이점이 있습니다. 접촉 매질이 사용되지 않고, 온도나 기타 재료 특성에 따른 속도 변화가 없고, 반경이 좁은 영역과 매우 얇은 샘플에서 벽 두께를 측정할 수 있습니다. 또한 부품 주변의 프로브를 스캔하여 여러 지점의 두께를 빠르게 확인하거나 특정 영역의 최소 두께를 찾는 작업이 쉽게 이루어집니다.

블로 몰딩 플라스틱 분야에서 홀 효과 측정의 잠재적 한계는 대상 볼을 측정 중인 부품 내부에 배치해야 하기 때문에 밀폐된 용기에서는 사용할 수 없다는 점입니다(초음파 측정은 가능). 이 시스템은 최대 약 10mm(0.400인치)까지 측정할 수 있습니다. 홀 효과 측정기는 압축성 재료를 측정할 수 있지만 볼은 재료를 압축할 수 있습니다. 따라서 이러한 측정을 실시할 때는 가능한 가장 작은 볼을 사용해야 합니다. 생산 환경에서, 작업자는 몇 초 이내에 전체 부품을 스캔하는 한편 여러 측정값을 저장하거나 최소 벽을 스캔할 수 있습니다. 흔히 이러한 유형의 기기는 성형 장비 작업자가 사용할 수 있도록 생산 구역에 배치됩니다. 이 접근 방식을 사용하면 진정한 통계적 프로세스 제어(SPC)가 가능합니다.

블로 몰딩 부품의 측정 방법을 선택하는 방법

두 측정 방법 중 하나를 선택할 때 적용되는 엄격한 규칙은 없습니다. 일반적으로 벽이 두꺼운 크고 단단한 부품을 측정하는 경우 선호되는 방법은 초음파입니다. 모서리가 촘촘하고 작고 얇은 벽(0.100인치 또는 2.5mm 미만) 부품을 측정할 때는 Magna-Mike™ 8600 기기와 같은 홀 효과 측정기가 선호됩니다. 보통 블로 몰딩 분야에서는 홀 효과 측정기를 선호합니다. 대부분의 블로 몰딩기에는 복잡한 모양, 상대적으로 얇고 유연한 벽, 기계식 측정기나 초음파 측정기로 측정하기 어려운 모서리가 있는 부품이 있습니다.

초음파 측정에는 정밀 두께 측정기를 사용할 수 있습니다. 가장 일반적인 단일 층 플라스틱 병 분야에는 표준 초음파 두께 측정기 중 하나를 권장합니다. 여기에는 단일 요소 소프트웨어가 포함된 39DL PLUS™ 측정기와 45MG 측정기가 포함됩니다. 이러한 측정기에는 여러 가지 속도와 변환기 설정을 저장할 수 있어 다양한 재료를 측정하기에 간단합니다. M116, M208, V260 Sonopen™ 등의 변환기는 일반적으로 벽이 얇은 부품에 권장합니다. 벽이 두꺼운 부품의 경우, 저주파 접촉 변환기(예: M112, M110 또는 M109)와 동일한 측정기를 사용하십시오. 50°C(120°F)를 초과하는 온도에서 뜨거운 플라스틱의 두께를 측정하려면 고온 지연선 변환기를 사용하십시오.

얇은 플라스틱 병이나 여러 겹의 플라스틱의 두께를 측정하려면 표준 초음파 두께 측정기에서 사용하는 것보다 훨씬 더 높은 주파수를 사용해야 합니다. 0.1mm(0.004인치) 미만의얇은 병 및 플라스틱 다층 용기의 경우 72DL PLUS™ 고주파 측정기를 권장합니다. 72DL PLUS 측정기는 최대 125MHz 주파수의 변환기를 사용할 수 있고 최대 여섯 겹의 두께를 동시에 표시할 수 있습니다.

간단한 몇 단계를 거치면 두 유형의 측정기를 빠르게 보정할 수 있습니다. 보정이 완료되면 두 측정기 모두 정확하고 반복 가능한 결과를 생성합니다. 사용자들은 이러한 방법을 사용할 경우 작업자 숙련도의 영향을 기계식 측정 방법에 비해 덜 받는다는 것을 발견할 수 있었습니다. 보정 데이터는 기록된 측정값과 함께 저장되며 작업자의 작업 상태를 확인할 수 있게 해줍니다. 초음파 측정기와 홀 효과 측정기 모두 데이터 로깅 기능을 제공하여 기록 오류의 위험을 제거하는 데 도움이 됩니다.

관련 제품


https://main--eds-evident-website--evident-scientific.hlx.live/ko/39dl-plus/

39DL PLUS

The 39DL PLUS™ gauge is field-proven and reliable for virtually every ultrasonic thickness inspection. It works as a precision or corrosion thickness gauge to meet the challenges of demanding applications across industries, including maintenance, manufacturing, and energy production. With world-class ultrasonic capability, fast scanning speeds, and fully integrated wireless connectivity, this handheld gauge delivers results you can trust in a seamless workflow.


https://main--eds-evident-website--evident-scientific.hlx.live/ko/72dl-plus/

72DL PLUS

72DL PLUS™ 고급 초음파 두께 측정기는 사용이 간편한 휴대용 장치로 빠르고 정밀하게 두께를 측정합니다.최대 125MHz의 단일 요소 탐촉자와 호환되는 이 혁신적인 두께 측정 도구는 다층 도장, 코팅, 플라스틱과 같은 초박막 소재의 두께의 측정에 매우 적합합니다.최대 6층의 두께를 동시에 표시할 수 있습니다.


https://main--eds-evident-website--evident-scientific.hlx.live/ko/45mg/

45MG

45MG 고급 초음파 두께 측정기에는 표준 측정 기능은 물론 다양한 소프트웨어 옵션이 있습니다.이 독특한 두께 측정 도구는 당사의 이중 요소 및 단일 요소 두께 측정 탐촉자와 호환됩니다.


https://main--eds-evident-website--evident-scientific.hlx.live/ko/magna-mike8600/

Magna-Mike 8600

Magna-Mike™ 8600 홀 효과 두께 측정기로는 자기 프로브를 사용하여 플라스틱 병과 같은 비철 및 박막 소재의 두께를 정확하게 측정할 수 있습니다.